经管之家App
让优质教育人人可得
立即打开
全部版块
我的主页
›
论坛
›
计量经济学与统计论坛 五区
›
计量经济学与统计软件
›
Stata专版
急!求问stata做动态面板系统gmm如何固定时间和地区效应!
楼主
1106498971
1579
0
收藏
2019-09-20
悬赏
5
个论坛币
未解决
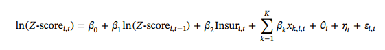
数据18年五个国家,模型设定如下:
其中x为控制变量,后面分别为国家和时间固定效用,做系统GMM
求问:1.系统gmm只需做扰动项自相关检验和过度识别检验吗?前期是否需要做异方差和自相关检验?
2.怎么固定时间和地区效应?比如控制变量包括银行资产ass和银行支出aco,该怎么写系统gmm命令???
3.如果模型中再引入insur的平方项作为核心解释变量,那gmm命令又该怎么写?
1.PNG
原图尺寸 8.11 KB
1.PNG
原图尺寸 8.11 KB
扫码加我 拉你入群
请注明:姓名-公司-职位
以便审核进群资格,未注明则拒绝
栏目导航
Stata专版
经管文库(原现金交易版)
休闲灌水
经管在职研
麦田创投
人工智能
热门文章
Financial Mathematics, Derivatives And S ...
北美PHD,焦虑的一批~
《那年2003》第67章:预警信号频发?CDA老哥 ...
计算方法丛书006 无约束最优化计算方法 邓乃 ...
《信用价值论》社会再生产均衡方程式 在宏观 ...
新宏观丨豆包,货币经济下新古典范式的系统 ...
全国329个地级市地区北京大学数字普惠金融指 ...
银行业与国民经济发展相关性研究报告1948-2 ...
计算方法丛书 样条函数方法 作者: 李岳生, ...
计算方法丛书 样条函数与计算几何 作者: 孙 ...
推荐文章
2026JG学术冬训营:从Stata初高到Python机器 ...
【必看】【本版版规,欢迎发悬赏贴求助】
【新课】26年3月|Gemini辅助论文写作与数据 ...
关于如何利用文献的若干建议
关于学术研究和论文发表的一些建议
关于科研中如何学习基础知识的一些建议 (一 ...
一个自编的经济学建模小案例 --写给授课本科 ...
AI智能体赋能教学改革: 全国AI教育教学应用 ...
2025中国AIoT产业全景图谱报告-406页
关于文献求助的一些建议
说点什么
分享
微信
QQ空间
QQ
微博
扫码加好友,拉您进群
各岗位、行业、专业交流群