全部版块 我的主页
论坛 计量经济学与统计论坛 五区 计量经济学与统计软件 Stata专版
2057 6
2019-10-02
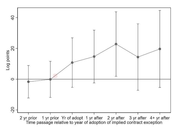
求大神讲一讲coefplot这个命令 输出的图要怎么看 1570018258(1).jpg
二维码

扫码加我 拉你入群

请注明:姓名-公司-职位

以便审核进群资格,未注明则拒绝

全部回复
2019-10-3 19:32:08
DID (+PSM) 是当前火红的实用计量方法,若你还没学过,或你学过的 (你确定你学的是对的吗?),请注意我的讲习 Stata实用计量方法 http://www.peixun.net/view/1377.html
二维码

扫码加我 拉你入群

请注明:姓名-公司-职位

以便审核进群资格,未注明则拒绝

2019-12-1 11:06:53
17866542019 发表于 2019-10-2 20:15
求大神讲一讲coefplot这个命令 输出的图要怎么看
我也想知道,您解决了吗
二维码

扫码加我 拉你入群

请注明:姓名-公司-职位

以便审核进群资格,未注明则拒绝

2019-12-1 17:05:43
你给出的图,显示政策冲击效用不显著。
二维码

扫码加我 拉你入群

请注明:姓名-公司-职位

以便审核进群资格,未注明则拒绝

2019-12-2 19:46:28
17866542019 发表于 2019-10-2 20:15
求大神讲一讲coefplot这个命令 输出的图要怎么看
只有year2显著,其他都不显著,政策基本没效果
二维码

扫码加我 拉你入群

请注明:姓名-公司-职位

以便审核进群资格,未注明则拒绝

2019-12-13 10:46:40
sophiaSsyy 发表于 2019-12-1 11:06
我也想知道,您解决了吗
我看论坛上有人说“与0相交就是不显著”
二维码

扫码加我 拉你入群

请注明:姓名-公司-职位

以便审核进群资格,未注明则拒绝

点击查看更多内容…
栏目导航
热门文章
推荐文章

说点什么

分享

扫码加好友,拉您进群
各岗位、行业、专业交流群