立即打开
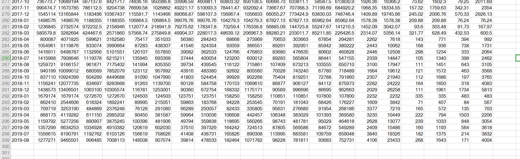
这个是中国对欧盟的进出口月度数据,时间为1995年1月-2019年8月,HS分类,总共为二十二大类,98章,具体分类可以查看百度HS的分类方式。数据来源于海关总署,金额单位为千美元,每一章都分进口值和出口值,进口值和出口值均分为当期值和累计值,当期值为该月中国对欧盟的进出口值,累计值为当年至该月中国对欧盟累计的进出口值,其中12月的累计值可以作为该年中国对欧盟的年度进出口值,可以很容易地将月度数据转换成季度数据和年度数据,极大地方便了我们的研究,有兴趣的朋友们可以下载来做研究之用,但请勿将其直接上传到各类论坛,公共群之中去,谢谢。附件请下载:
扫码加我 拉你入群
请注明:姓名-公司-职位
以便审核进群资格,未注明则拒绝
全部回复
蓝色土耳其2013 发表于 2019-10-3 16:35 
这个是中国对欧盟的进出口月度数据,时间为1995年1月-2019年8月,HS分类,总共为二十二大类,98章,具体分类 ...
有需要的可以看看
扫码加我 拉你入群
请注明:姓名-公司-职位
以便审核进群资格,未注明则拒绝
扫码加我 拉你入群
请注明:姓名-公司-职位
以便审核进群资格,未注明则拒绝
Spark2 发表于 2019-10-4 22:00 
可以用论坛币购买吗
我不缺论坛币呀
扫码加我 拉你入群
请注明:姓名-公司-职位
以便审核进群资格,未注明则拒绝
蓝色土耳其2013 发表于 2019-10-3 16:35 
这个是中国对欧盟的进出口月度数据,时间为1995年1月-2019年8月,HS分类,总共为二十二大类,98章,具体分类 ...
海关总署月度数据
扫码加我 拉你入群
请注明:姓名-公司-职位
以便审核进群资格,未注明则拒绝
蓝色土耳其2013 发表于 2019-10-3 16:35 
这个是中国对欧盟的进出口月度数据,时间为1995年1月-2019年8月,HS分类,总共为二十二大类,98章,具体分类 ...
中国对欧盟进出口数据
扫码加我 拉你入群
请注明:姓名-公司-职位
以便审核进群资格,未注明则拒绝
栏目导航
热门文章
推荐文章
扫码加好友,拉您进群