经管之家App
让优质教育人人可得
立即打开
全部版块
我的主页
›
论坛
›
提问 悬赏 求职 新闻 读书 功能一区
›
学道会
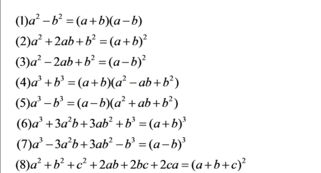
【学习笔记】基础公式还是有用滴!
楼主
BernardZ
459
2
收藏
2019-10-06
基础公式还是有用滴!
扫码加我 拉你入群
请注明:姓名-公司-职位
以便审核进群资格,未注明则拒绝
全部回复
沙发
512661101
2019-10-6 02:32:59
赞
扫码加我 拉你入群
请注明:姓名-公司-职位
以便审核进群资格,未注明则拒绝
藤椅
jessie68us
2019-10-6 10:35:39
支持
扫码加我 拉你入群
请注明:姓名-公司-职位
以便审核进群资格,未注明则拒绝
相关推荐
【学习笔记】《舞弊检查》
【学习笔记】今日打卡
【学习笔记】签到
栏目导航
学道会
金融学(理论版)
经管文库(原现金交易版)
金融实务版
R语言论坛
休闲灌水
热门文章
2026年未来产业十大赛道
2026中小企业加快前沿技术创新发展研究报告 ...
电子行业专题研究:AI驱动先进硅片需求高增 ...
2025-2026年中国绿色消费行为白皮书
AI幻觉深度研究报告-清新研究-202604
公用事业行业:AI对用电的影响
2026巨量引擎教育行业营销白皮书-巨量引擎- ...
A general framework for observation driv ...
求下一篇英文文章
CDA数据分析脱产就业班在2026年3月7日开班了 ...
推荐文章
【文献求助专区】版主工作备用贴
五一充电,学术突围!四大AI赋能王牌课程, ...
关于学术研究和论文发表的一些建议
几种免费下载文献的方法----我的文献应助经
【必看】【本版版规,欢迎发悬赏贴求助】
【新课】26年3月|Gemini辅助论文写作与数据 ...
关于如何利用文献的若干建议
关于科研中如何学习基础知识的一些建议 (一 ...
一个自编的经济学建模小案例 --写给授课本科 ...
AI智能体赋能教学改革: 全国AI教育教学应用 ...
说点什么
分享
微信
QQ空间
QQ
微博
扫码加好友,拉您进群
各岗位、行业、专业交流群