经管之家App
让优质教育人人可得
立即打开
全部版块
我的主页
›
论坛
›
计量经济学与统计论坛 五区
›
数据交流中心
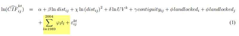
请问黄色部分在计量模型中描述的是什么?
楼主
oliveeee
502
0
收藏
2019-10-06
这是一个贸易重力模型中是一个模型,1989和2004是年份,那这一部分表示的是什么意思呢,求指点
扫码加我 拉你入群
请注明:姓名-公司-职位
以便审核进群资格,未注明则拒绝
相关推荐
求助 计量模型的运用
请求指点:stata操作中弹出了一个提示是什么意思?
建立计量模型,求影响对某一软件需求的因素有哪些啊
平均收入的计量模型求教????
编辑有回复了,但这个外审意见是什么意思
求指点
关于计量模型指标的选择问题?
有哪位大神可以给说一下D-K-D模型吗?
计量模型
计量模型
栏目导航
数据交流中心
计量经济学与统计软件
真实世界经济学(含财经时事)
宏观经济学
世界经济与国际贸易
行业分析报告
热门文章
表格结构数据的核心特征及具象实例解析
2026中信里昂风水指数
毕马威 - 中国内地与香港IPO市场2025年回顾 ...
2026年中国白银行业市场供需现状及发展趋势 ...
查找文献Digital mapping of soil organic ...
精准匹配,菁英相伴--经管之家单身俱乐部, ...
科研时间70%耗在“下载-复制-粘贴”?零代码 ...
我该如何记住你?智能体记忆系统的演化之路
CDA数据分析脱产就业班于2026年3月7日开班! ...
CDA 认证考试大纲 2025 重磅更新:一二级考 ...
推荐文章
2026JG学术冬训营:从Stata初高到Python机器 ...
【必看】【本版版规,欢迎发悬赏贴求助】
26年寒假天津站|Gemini论文写作&数据分析 ...
关于如何利用文献的若干建议
关于学术研究和论文发表的一些建议
关于科研中如何学习基础知识的一些建议 (一 ...
一个自编的经济学建模小案例 --写给授课本科 ...
AI智能体赋能教学改革: 全国AI教育教学应用 ...
2025中国AIoT产业全景图谱报告-406页
关于文献求助的一些建议
说点什么
分享
微信
QQ空间
QQ
微博
扫码加好友,拉您进群
各岗位、行业、专业交流群