经管之家App
让优质教育人人可得
立即打开
全部版块
我的主页
›
论坛
›
提问 悬赏 求职 新闻 读书 功能一区
›
经管百科
›
爱问频道
matlab 代码求助
楼主
ynguan
367
0
收藏
2019-10-07
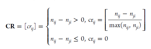
请问已知nij和nji 怎样写出CR的计算
扫码加我 拉你入群
请注明:姓名-公司-职位
以便审核进群资格,未注明则拒绝
栏目导航
爱问频道
经管文库(原现金交易版)
文献求助专区
产业经济学
经管高考
行业分析报告
热门文章
OpenClaw+Claude Code丨从"手动科研"到 ...
OpenClaw vs Hermes:一文深入理解两大通用 ...
CDA数据分析脱产就业班在2026年3月7日开班了 ...
CDA 认证考试大纲 2025 重磅更新:一二级考 ...
从数据源头到商业洞察:CDA数据分析师视角下 ...
斯坦福2026报告:中国AI模型追上美国(英)-4 ...
OpenClaw群虾研究报告
论西方经济学的结构性缺陷与中国经济的破局 ...
我国新兴产业发展活力研究2025
中国智能电网发展成就与趋势
推荐文章
五一充电,学术突围!四大AI赋能王牌课程, ...
关于学术研究和论文发表的一些建议
几种免费下载文献的方法----我的文献应助经
【必看】【本版版规,欢迎发悬赏贴求助】
【新课】26年3月|Gemini辅助论文写作与数据 ...
关于如何利用文献的若干建议
关于科研中如何学习基础知识的一些建议 (一 ...
一个自编的经济学建模小案例 --写给授课本科 ...
AI智能体赋能教学改革: 全国AI教育教学应用 ...
2025中国AIoT产业全景图谱报告-406页
说点什么
分享
微信
QQ空间
QQ
微博
扫码加好友,拉您进群
各岗位、行业、专业交流群