全部版块 我的主页
论坛 提问 悬赏 求职 新闻 读书 功能一区 经管文库(原现金交易版)
1050 2
2019-10-11
1、一个人有了远大的理想,就是在最艰苦困难的时候,也会感到幸福。

2、梦是心灵的思想,是我们的秘密真情。

3、穷人并不是指身无分文的人,而是指没有理想的人。

4、人生的真正欢乐是致力于一个自己认为是伟大的目标。

5、如果你想走到高处,就要使用自我的两条腿!不好让别人把你抬到高处;不好坐在别人的背上和头上。

6、走得最慢的人,只要他不丧失目标,也比漫无目的地徘徊的人走得快。

7、我常常重复这一句话:一个人追求的目标越高,他的才力就发展得越快,对社会就越有益。

8、如果你不怀疑自我,你的立足点确实不稳固了。

9、有理想在的地方,地狱就是天堂。

10、艺术的大道上荆棘丛生,这也是件好事,常人都望而却步,只有意志坚强的人例外。

11、我想揭示大自然的秘密,用来造福人类。我认为,在咱们的短暂生命中,最好的贡献莫过于此了。
附件列表
2.JPG

原图尺寸 40.18 KB

2.JPG

1.JPG

原图尺寸 89.08 KB

1.JPG

二维码

扫码加我 拉你入群

请注明:姓名-公司-职位

以便审核进群资格,未注明则拒绝

全部回复
2019-10-27 10:41:05
憨憨哼哼 发表于 2019-10-11 00:31
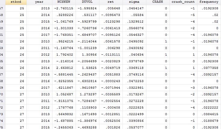
2000-2017年股价崩盘数据,其中包含5个论文中常用的股价崩盘衡量指标(最常用的负收益偏态系数、收益上下波 ...
你好,求分享,
二维码

扫码加我 拉你入群

请注明:姓名-公司-职位

以便审核进群资格,未注明则拒绝

2019-10-28 11:41:10
Biancheng159 发表于 2019-10-27 10:41
你好,求分享,
买完自己就可以下载了啊
二维码

扫码加我 拉你入群

请注明:姓名-公司-职位

以便审核进群资格,未注明则拒绝

栏目导航
热门文章
推荐文章

说点什么

分享

扫码加好友,拉您进群
各岗位、行业、专业交流群