经管之家App
让优质教育人人可得
立即打开
全部版块
我的主页
›
论坛
›
数据科学与人工智能
›
数据分析与数据科学
›
R语言论坛
如何把三个函数画在一张图上?
楼主
耕耘使者
2595
3
收藏
2019-10-24
悬赏
60
个论坛币
已解决
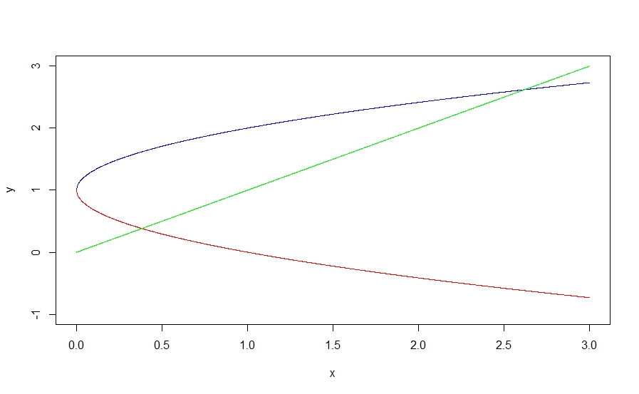
分别是:
y=1+sqrt(x)
y=1-sqrt(x)
y=x
最佳答案
觅寄忧谷
查看完整内容
x
扫码加我 拉你入群
请注明:姓名-公司-职位
以便审核进群资格,未注明则拒绝
全部回复
沙发
觅寄忧谷
2019-10-24 07:25:39
x<-seq(0,3,by=0.001)
y1<-1+sqrt(x)
y2<-1-sqrt(x)
y3<-x
plot(x,y1,type="l",ylim = c(-1,3),ylab = "y",col="blue")
lines(x,y2,type = "l",col="red")
lines(x,y3,type = "l",col="green")
如果需要图例,可以留言,生成图例
扫码加我 拉你入群
请注明:姓名-公司-职位
以便审核进群资格,未注明则拒绝
藤椅
觅寄忧谷
2019-10-24 14:23:08
x<-seq(0,3,by=0.001)
y1<-1+sqrt(x)
y2<-1-sqrt(x)
y3<-x
plot(x,y1,type="l",ylim = c(-1,3),ylab = "y",col="blue")
lines(x,y2,type = "l",col="red")
lines(x,y3,type = "l",col="green")
生成的函数图如附件所示
附件列表
Rplot.jpeg
原图尺寸 71.38 KB
扫码加我 拉你入群
请注明:姓名-公司-职位
以便审核进群资格,未注明则拒绝
板凳
耕耘使者
2019-10-27 21:40:48
觅寄忧谷 发表于 2019-10-24 14:23
x
多谢朋友!
扫码加我 拉你入群
请注明:姓名-公司-职位
以便审核进群资格,未注明则拒绝
栏目导航
R语言论坛
经管在职研
stata专版
行业分析报告
经管文库
文献求助专区
热门文章
相对于Harness这个词,我更钟情控制论:从控 ...
人工智能行业:2026年AI+行业场景落地选型指 ...
公司金融期末通关讲义
比亚迪一季度净利大跌55% 六年来最大跌幅
当Stata遇上 AI 智能体:你的实证研究,正在 ...
从数据仓库到智能取数:CDA数据分析师视角下 ...
CDA 认证考试大纲 2025 重磅更新:一二级考 ...
A Practical Guide to Logistic Regression ...
GraphPad Prism 多因素方差分析
Expert Choice软件(ahp层次分析法软件)含序 ...
推荐文章
五一充电,学术突围!四大AI赋能王牌课程, ...
关于学术研究和论文发表的一些建议
几种免费下载文献的方法----我的文献应助经
【必看】【本版版规,欢迎发悬赏贴求助】
【新课】26年3月|Gemini辅助论文写作与数据 ...
关于如何利用文献的若干建议
关于科研中如何学习基础知识的一些建议 (一 ...
一个自编的经济学建模小案例 --写给授课本科 ...
AI智能体赋能教学改革: 全国AI教育教学应用 ...
2025中国AIoT产业全景图谱报告-406页
说点什么
分享
微信
QQ空间
QQ
微博
扫码加好友,拉您进群
各岗位、行业、专业交流群