全部版块 我的主页
论坛 经济学论坛 三区 微观经济学 经济金融数学专区
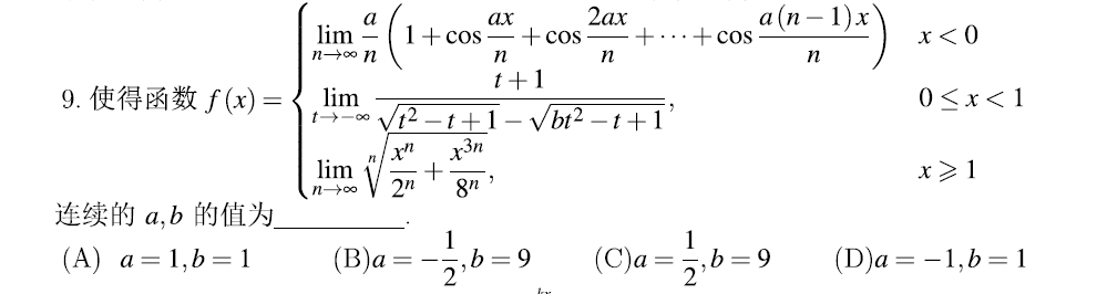
2019-12-12 10:40:44
2016年四校联合数学竞赛题
sgx-9.png

解:
                    根据已知条件,计算可得$b=9,a=-\frac{1}{2}$.选$B$.

                $\displaystyle \because f(x)=\lim_{n \to \infty }\frac{a}{n}(1+\cos \frac{ax}{n}+\cdots +\cos \frac{a(n-1)x}{n})=\frac{1}{x}\int_{0}^{ax}\cos tdt=\frac{1}{x}\sin ax.$

                 $\displaystyle \therefore \lim_{x\to 0-}f(x)=a.$

                   $\displaystyle \lim_{t\to -\infty }\frac{t+1}{\sqrt{t^2-t+1}-\sqrt{bt^2-t+1}}=\frac{1}{-1+\sqrt{b}}.$

                   $\displaystyle \lim_{n \to \infty }\sqrt[n]{\frac{x^n}{2^n}+\frac{x^{3n}}{8^n}}=\frac{x}{2},(x\in(1,1+\delta )).$









二维码

扫码加我 拉你入群

请注明:姓名-公司-职位

以便审核进群资格,未注明则拒绝

2019-12-12 10:41:17
2016年四校联合数学竞赛题
sgx-10.png


解:函数单调增。故A不对,由单调性判断,B也不对。选C。





二维码

扫码加我 拉你入群

请注明:姓名-公司-职位

以便审核进群资格,未注明则拒绝

2019-12-12 15:19:10
网格上一个易错的问题,摘录于此
$\displaystyle \lim_{x\to +\infty }(\sqrt[n]{(x-a_1)(x-a_2)\cdots (x-a_n)}-x).$

以下是网友解答

       令
                             $\displaystyle p(x)=\prod_{k=1}^{n}(1-\frac{a_k}{x}),$

         利用罗必塔法则,有

$\begin{align*}
\lim_{x\to +\infty }(\sqrt[n]{(x-a_1)(x-a_2)\cdots (x-a_n)}-x)&=\lim_{x\to +\infty }\frac{p(x)^{\frac{1}{n}}-1}{\frac{1}{x}}\\\\&=\lim_{x\to +\infty }\frac{\frac{1}{n}\cdot p(x)^{\frac{1}{n}-1}\cdot (p(x))'}{-\frac{1}{x^2}}\\\\&=-\lim_{x\to +\infty }\frac{x^2}{n}\cdot (p(x))'\\\\&=-\lim_{x\to +\infty }\frac{x^2}{n}\sum_{k=1}^{n}\frac{p(x)}{1-\frac{a_k}{x}}\cdot \frac{a_k}{x^2}\\\\&=-\frac{1}{n}\sum_{k=1}^{n}a_k.
\end{align*}$



二维码

扫码加我 拉你入群

请注明:姓名-公司-职位

以便审核进群资格,未注明则拒绝

2019-12-13 20:57:25
2016年四校联合数学竞赛题
1.png
解:
           由于

                $\displaystyle I_1=\int e^{\cos x}  x\sin xdx=-xe^{\cos x}+\int e^{\cos x}dx,$

                $\displaystyle I_2=\int e^{\cos x}\frac{\cos x}{\sin ^2x}dx=-\frac{1}{\sin x}e^{\cos x}-\int e^{\cos x}dx,$

           所以

                 $\displaystyle \int e^{\cos x}\frac{x\sin^3x+\cos x}{\sin ^2x}dx=I_1+I_2=xe^{\cos x}-\frac{1}{\sin x}e^{\cos x}.$




二维码

扫码加我 拉你入群

请注明:姓名-公司-职位

以便审核进群资格,未注明则拒绝

2019-12-13 20:58:04
2016年四校联合数学竞赛题
2.png

解一:

             $\displaystyle \int_{0}^{+\infty }\frac{\ln x}{(1+x)\sqrt{x}}dx=\int_{0}^{+\infty }\frac{4t\ln t}{(1+t^2)t}dt=4\int_{0}^{+\infty }\frac{\ln t}{t^2}dt-4\int_{0}^{+\infty }\frac{\ln t}{1+t^2}dt,$

            $\displaystyle \int_{0}^{+\infty }\frac{\ln t}{t^2}dt=-\frac{\ln t}{t}|_0^{+\infty }+\int_{0}^{+\infty }\frac{1}{t^2}dt=-\lim_{t\to +\infty }\frac{\ln t}{t}+\lim_{t\to 0}\frac{\ln t}{t}-\lim_{t\to +\infty }\frac{1}{t}+\lim_{t\to 0}\frac{1}{t}=0.$

             $\displaystyle \because 0< \int_{0}^{+\infty }\frac{\ln t}{1+t^2}dt< \int_{0}^{+\infty }\frac{\ln t}{t^2}dt,$

             $\displaystyle \therefore \int_{0}^{+\infty }\frac{\ln t}{1+t^2}dt=0.$

         因此
                  $\displaystyle \int_{0}^{+\infty }\frac{\ln x}{(1+x)\sqrt{x}}dx=0.$



解二: 令
                     $x=\frac{1}{t},$

                    $\displaystyle \int_{0}^{+\infty }\frac{\ln x}{(1+x)\sqrt{x}}dx=\int_{0}^{+\infty }\frac{\ln \frac{1}{t}}{(1+\frac{1}{t})\sqrt{\frac{1}{t}}}(-\frac{1}{t^2})dt=-\int_{0}^{+\infty }\frac{\ln t}{(1+t)\sqrt{t}}dt.$

            因此得
                        
                     $\displaystyle \int_{0}^{+\infty }\frac{\ln x}{(1+x)\sqrt{x}}dx=0.$



二维码

扫码加我 拉你入群

请注明:姓名-公司-职位

以便审核进群资格,未注明则拒绝

2019-12-13 20:58:55
2016年四校联合数学竞赛题
3.png

解:令
                                  $y=0,$

         代入已知方程,有

                             $f(x)=\frac{f(x)+f(0)}{1-f(x)f(0)},$

          得
                            $f(0)(1+f^2(x))=0,$

                         $\therefore f(0)=0.$

            因为
                           $\frac{f(x+\Delta x)-f(x)}{\Delta x}=\frac{f(\Delta x)}{\Delta x}\cdot \frac{1+f^2(x)}{1-f(x)f(\Delta x)},$

                            $\Delta x\rightarrow 0,f(\Delta )\rightarrow f(0)=0.$

                            $\frac{f(\Delta x)}{\Delta x}=f'(0)=c_1=1,(\Delta x\rightarrow 0)$

                          $\therefore f'(x)=c_1(1+f^2(x)),$

           解微分方程
                            $\int_{0}^{x}\frac{f'(x)dx}{1+f^2(x)}=c_1x+c_2,$

                             $\arctan f(x)=c_1x+c_2,$

                           $\because f(0)=0,\rightarrow c_2=0.$

                           $\therefore f(x)=\tan c_1x=\tan x.$



二维码

扫码加我 拉你入群

请注明:姓名-公司-职位

以便审核进群资格,未注明则拒绝

2019-12-13 20:59:30
2016年四校联合数学竞赛题
4.png


证明
           (1)、     由拉格朗日中值定理,并注意到端点零值。有

                            $\forall \varepsilon > 0,\forall x\in [0,2016-\varepsilon],\exists \xi\in (0,2016-\varepsilon ),s.t.$

                             $f^2(x)=(f(x)-f(0))^2=(f'(\xi))^2(2016-\varepsilon )^2< (f'(\xi))^2 2016^2,$

                          对之积分,有

                            $\int_{0}^{2016}f^2(x)dx\leq \int_{0}^{2016}(f'(\xi))^2 2016^2dx,$

                        因此得(由$\xi$的任意性)

                             $\sqrt{\int_{0}^{2016}f^2(x)dx}\leq 2016\sqrt{\int_{0}^{2016}(f'(x))^2 dx}.$


             (2)、由拉格朗日中值定理

                              $\xi \in (0,\frac{1}{4}),\eta \in (\frac{3}{4},1),\exists \lambda \in (\xi ,\eta ),s.t.$

                              $|f'(\lambda )|=|\frac{f(\eta )-f(\xi )}{\eta -\xi }|\leq 2|f(\eta )-f(\xi)|,$

                     又
                               $\because \int_{\lambda }^{x}f''(t)dt=f'(x)-f'(\lambda ),$

                                $\therefore f'(x)=f'(\lambda )+\int_{\lambda }^{x}f''(t)dt,$

                   所以有
                               $|f'(x)|\leq |f'(\lambda )|+\int_{\lambda }^{x}|f''(t)|dt\leq 2|f(\eta )-f(\xi)|+\int_{0}^{1}|f''(x)|dx.$


注:此题(2)要求证明的不等式,含有暗示。出题老师算心地仁慈的。


二维码

扫码加我 拉你入群

请注明:姓名-公司-职位

以便审核进群资格,未注明则拒绝

2019-12-13 21:00:35
2016年四校联合数学竞赛题
5.png

证明:
           (1)、令
                                $F(x)=\int_{0}^{x}e^{f(t)}dt-\int_{x}^{1}e^{-f(t)}dt.$

                             $\because F(0)=-\int_{0}^{1}e^{-f(t)}dt< 0,$

                                 $F(1)=\int_{0}^{1}e^{f(t)}dt> 0,$

                        由介值定理

                                   $\therefore \exists \xi\in(0,1),s.t.$

                                           $F(\xi)=0,$

                          也即有
                                     $\int_{0}^{\xi}e^{f(t)}dt=\int_{\xi}^{1}e^{-f(t)}dt.$

                          又因为$F'(x)>0$.所以这样的点唯一。

           (2)、与(1)相类似的原理知,$\xi_n$存在且唯一。故有

                                 $\int_{\frac{1}{n}}^{\xi_n}e^{f(x)}dx=\int_{\xi_n}^{1}e^{-f(x)}dx.$

                     由积分中值定理,

                                 $\exists c_1\in (\frac{1}{n},\xi_n),c_2\in (\xi_n,1),s.t.$

                                 $(\xi_n-\frac{1}{n})e^{f(c_1)}=(1-\xi_n)e^{-f(c_2)},$

                                $\xi_n=\displaystyle \frac{e^{-f(c_2)}+\frac{1}{n}e^{f(c_1)}}{e^{-f(c_2)}+e^{f(c_1)}},$

                    其中,$f(x)$在$[0,1]$上有界。

                                    $\therefore 1\leq \xi_n\leq 1.$

                          因此,得

                                    $\displaystyle \lim_{n \to \infty }\xi_n=1.$

(2)的解似乎不对,网友的解:
QQ图片20191218195050.jpg

二维码

扫码加我 拉你入群

请注明:姓名-公司-职位

以便审核进群资格,未注明则拒绝

2019-12-13 21:01:05
2016年四校联合数学竞赛题
6.png

解:
       (1)、设渐近线方程为

                                         $y=kx+b.$

                  由定义得
                                        $\displaystyle k=\lim_{x\rightarrow +\infty }\frac{y}{x},$

                    由已知方程,得

                                         $1+(\frac{y}{x})^3-3a\frac{y}{x^2}=0,$

                                        $\therefore 1+k^3=0,(x\to +\infty )$

                    所以
                                        $\displaystyle k=\lim_{x\rightarrow +\infty }\frac{y}{x}=-1.$

                      又
                                        $b=x+y,$

                     由已知方程,有

                                        $(x+y)(x^2-xy+y^2)=3axy,$

                                     $\therefore x+y=\frac{3axy}{x^2-xy+y^2}=\frac{3a\frac{y}{x}}{1-\frac{y}{x}+(\frac{y}{x})^2}=-a,(x\to+\infty )$

                     由此得渐近线方程为

                                       $x+y+a=0.$

       (2)、可以证明所求面积与曲线闭合部分面积相等。
1.png
2.jpg
3.jpg



二维码

扫码加我 拉你入群

请注明:姓名-公司-职位

以便审核进群资格,未注明则拒绝

2019-12-19 14:02:14
一个网友问的问题
二维码

扫码加我 拉你入群

请注明:姓名-公司-职位

以便审核进群资格,未注明则拒绝

2019-12-19 14:02:19
一个网友问的问题
QQ图片20191218164248.png

证明 :
             (1)、令
                                 $f(x)=\ln(1+\frac{1}{x})-\frac{1}{1+x},$

                                 $f'(x)=-\frac{1}{x^2}\cdot \frac{1}{1+\frac{1}{x}}+\frac{1}{(1+x)^2}=\frac{-1}{x(1+x)^2}< 0.$

                               $\displaystyle \therefore f(x)\downarrow ,\ln(1+\frac{1}{x})\geq \frac{1}{1+x}.$

                          后半题用归纳法证明

                                  $n=1,a_2=a_1+\frac{a_1^2}{n^2}\leq 2a_1,$

                          假设
                                   $n=k,a_k\leq (k-1)a_1,$

                                时成立。那么

                                     $n=k+1,a_{k+1}=a_k+\frac{a^2_k}{k^2}\leq ka_1(1+\frac{a_k}{k})\leq (k+1)a_1.$

                          所以不等式成立。

            (2)、当$n\geq 3$时,(以下为网友解答

                                   $\frac{a_{n+1}}{a_n}=1+\frac{a_n}{n^2}\leq 1+\frac{a_1}{n},(\because a_n\leq na_1)$

                                    $\displaystyle \therefore a_n=a_2\prod_{k=2}^{n-1}\frac{a_{k+1}}{a_k}\leq a_2\prod_{k=2}^{n-1}(1+\frac{a_1}{k}),$

                            两边取对数,有

                                    $\begin{align*}\ln\frac{a_n}{a_2}&\leq \sum_{k=2}^{n-1}\ln(1+\frac{a_1}{k})\leq \sum_{k=2}^{n-1}\frac{a_1}{k}\\&=a_1\sum_{k=1}^{n-2}\frac{1}{k+1}\leq a_1\sum_{k=1}^{n-2}\ln(1+\frac{1}{k})\\&=a_1\ln(n-1).\end{align*}$

                            即有:
                                    $a_n\leq (n-1)^{a_1}a_2\leq n^{a_1}a_2,(n\geq 3)$

                (3)、
                                      $\because 0< a_1< 1,$

                                       $\displaystyle \therefore \sum_{n=2}^{\infty }\frac{a_2}{n^{2-a_1}}< \infty .$

                            即
                                       $\displaystyle \prod_{n=2}^{\infty }(1+\frac{a_2}{n^{2-a_1}})< \infty .$

                            而
                                       $\displaystyle a_n=a_2\prod_{k=2}^{n-1}\frac{a_{k+1}}{a_k}=a_2\prod_{k=2}^{n-1}(1+\frac{a_{n}}{k^2})\leq a_2\prod_{k=2}^{n-1}(1+\frac{a_2}{k^{2-a_1}})< \infty .$

                            数列有界。又因为

                                        $a_{n+1}-a_n=\frac{a^2_n}{n^2}> 0,$

                           故 $ \{a_n\}$为递增数列。

                            综上所证, $ \{a_n\}$单调有界,故收敛。



二维码

扫码加我 拉你入群

请注明:姓名-公司-职位

以便审核进群资格,未注明则拒绝

2019-12-21 08:38:32
一道中值定理
QQ图片20191221083536.jpg

证明:
                令
                         $F(x)=f(x)e^{\int_{0}^{x}f^2(t)dt},$

                则有
                          $F(a)=F(b)=0,$

               由Rolle定理可知
                           $\exists \xi \in (a,b),s.t.$

                           $\displaystyle F'(\xi)=f'(\xi)e^{\int_{0}^{\xi}f^2(t)dt}+f^3(\xi)e^{\int_{0}^{\xi}f^2(t)dt}=0,$

                         $\therefore f'(\xi)+f^3(\xi)=0.$


注:这个题的辅助函数不太容易想到。


二维码

扫码加我 拉你入群

请注明:姓名-公司-职位

以便审核进群资格,未注明则拒绝

2019-12-23 10:12:52
1.png

解:
            令:
                       $\sqrt[n]{n}-1=t_n,$

              由此有

                        $n=(t_n+1)^n=1+C_n^2t_n^2+C_n^3t_n^3+\cdots +t^n_n> C_n^3t_n^3=\frac{n(n-1)(n-2)}{6}t_n^3,$

                      $\therefore t^2_n< (\frac{6}{(n-1)(n-2)})^{\frac{2}{3}}\sim \frac{1}{n^{\frac{4}{3}}}.$

              而优级数$\frac{1}{n^{\frac{4}{3}}}$收敛, 所以,原级数也收敛。



         
二维码

扫码加我 拉你入群

请注明:姓名-公司-职位

以便审核进群资格,未注明则拒绝

2019-12-25 08:49:05
一道中值定理问题
QQ图片20191224160108.jpg


证明:
          (1)、利用Cauchy中值定理,有

                               $\exists \xi_1\in (0,\frac{1}{3}),\xi_2\in (\frac{1}{3},1),\xi_3\in (0,1),s.t.$

                               $f(\frac{1}{3})-f(0)=\frac{1}{3}f'(\xi_1),$

                               $f(1)-f(\frac{1}{3})=\frac{2}{3}f'(\xi_2),$

                               $f(1)-f(0)=f'(\xi_3).$

                        将$f(1)=1,f(0)=0,$代入,并相加上述三个等式,得

                               $\therefore f'(\xi_1)+2f'(\xi_2)+3f'(\xi_3)=6.$


          (2)、设
                              $F(x)=\frac{f(x)}{x^3},G(x)=\frac{f(x)}{x^2},$

                      则由Cauchy定理,有

                               $\frac{f(1)-f(0)}{1-0}=\frac{f'(\xi)}{3\xi^2},$

                               $\frac{f(1)-f(0)}{1-0}=\frac{f'(\eta)}{2\eta},$

                       整理得

                               $\therefore 2\eta f'(\xi)=3\xi^2f'(\eta).$


二维码

扫码加我 拉你入群

请注明:姓名-公司-职位

以便审核进群资格,未注明则拒绝

2019-12-25 09:59:11
(2020年中国科学院大学数分考研)证明
\[\frac{\sqrt{3}}{2}\pi<\int_{0}^{1}\sqrt{\frac{x^2-x+1}{x-x^2}}\,\mathrm{d}x<\pi.\]
注意到
\[\int_{0}^{1}\frac{1}{\sqrt{x-x^2}}\,\mathrm{d}x=\pi,\quad \frac{3}{4}\leq x^2-x+1= \left(x-\frac{1}{2}\right)^2+\frac{3}{4}\leq 1,x\in [0,1].\]
因此
\[\frac{\sqrt{3}}{2}\pi=\int_{0}^{1}\sqrt{\frac{\frac{3}{4}}{x-x^2}}\,\mathrm{d}x<\int_{0}^{1}\sqrt{\frac{x^2-x+1}{x-x^2}}\,\mathrm{d}x
<\int_{0}^{1}\sqrt{\frac{1}{x-x^2}}\,\mathrm{d}x=\pi.\]

(2020年中国科学院大学数分考研)证明
\[\left|\int_{100}^{200}\frac{x^3}{x^4+x-1}\,\mathrm{d}x-\ln 2\right|<\frac{1}{3}\cdot 10^{-6}.\]
由于
\begin{align*}
\left|\int_{100}^{200}\frac{x^3}{x^4+x-1}\,\mathrm{d}x-\ln 2\right|&=\left|\int_{100}^{200}\frac{x^3}{x^4+x-1}\,\mathrm{d}x-
\int_{100}^{200}\frac{1}{x}\,\mathrm{d}x\right|\\
&=\int_{100}^{200}\frac{x-1}{x\left(x^4+x-1\right)}\,\mathrm{d}x
<\int_{100}^{200}\frac{x}{x\cdot x^4}\,\mathrm{d}x=\int_{100}^{200}\frac{1}{x^4}\,\mathrm{d}x\\
&=\frac{1}{3}\left(\frac{1}{100^3}-\frac{1}{200^3}\right)<\frac{1}{3}\cdot \frac{1}{100^3}=\frac{1}{3}\cdot 10^{-6}.
\end{align*}

(博士家园,陶哲轩小弟)
二维码

扫码加我 拉你入群

请注明:姓名-公司-职位

以便审核进群资格,未注明则拒绝

2019-12-28 18:53:52
weierstrass分解定理的运用
微信图片_20191228185157.jpg

二维码

扫码加我 拉你入群

请注明:姓名-公司-职位

以便审核进群资格,未注明则拒绝

2019-12-28 18:56:21
三道较难题
微信图片_20191228184757.jpg

解:

QQ图片20200114000017.png



二维码

扫码加我 拉你入群

请注明:姓名-公司-职位

以便审核进群资格,未注明则拒绝

2019-12-29 15:43:42
一道网友题
QQ图片20191229153444.png


二维码

扫码加我 拉你入群

请注明:姓名-公司-职位

以便审核进群资格,未注明则拒绝

2019-12-30 12:14:15
复旦大学2019年数学分析1期中考试
fd2019-1.png


                 $\displaystyle \lim_{n \to +\infty }(1-\frac{x}{n^\alpha })^n=\lim_{n \to +\infty }e^{-\frac{x}{n^{\alpha -1}}}=\begin{cases}
1 &\alpha > 1 ,\\
0 & 0< \alpha < 1 ,\\
e^{-x} &\alpha =1.
\end{cases}$


二维码

扫码加我 拉你入群

请注明:姓名-公司-职位

以便审核进群资格,未注明则拒绝

2019-12-30 12:14:45
复旦大学2019年数学分析1期中考试
fd2019-2.png



二维码

扫码加我 拉你入群

请注明:姓名-公司-职位

以便审核进群资格,未注明则拒绝

2019-12-30 12:17:11
复旦大学2019年数学分析1期中考试
fd2019-3.png

解:
       1、解法一、积分定义法
                      $\begin{align*}\lim_{n \to +\infty }\frac{1+\frac{1}{\sqrt{2}}+\frac{1}{\sqrt{3}}+\cdots +\frac{1}{\sqrt{n}}}{\sqrt{n}}&=\lim_{n \to +\infty }\frac{\frac{1}{\sqrt{\frac{1}{n}}}+\frac{1}{\sqrt{\frac{2}{n}}}+\frac{1}{\sqrt{\frac{3}{n}}}+\cdots +\frac{1}{\sqrt{\frac{n}{n}}}}{\sqrt{n}\cdot \sqrt{n}}\\\\&=\int_{0}^{1}\frac{1}{\sqrt{x}}dx\\\\&=2x^{1/2}|_0^1=2.
\end{align*}$

         解法二、用Stolz定理
                     $\begin{align*}\lim_{n \to +\infty }\frac{1+\frac{1}{\sqrt{2}}+\frac{1}{\sqrt{3}}+\cdots +\frac{1}{\sqrt{n}}}{\sqrt{n}}&=\lim_{n \to +\infty }\frac{\frac{1}{\sqrt{n+1}}}{\sqrt{n+1}-\sqrt{n}}\\\\&=\lim_{n \to +\infty }\frac{\sqrt{n+1}+\sqrt{n}}{\sqrt{n+1}}\\\\&=2.
\end{align*}$


      2、因为
                   $\displaystyle \lim_{n \to +\infty }\frac{1}{\sqrt{n}}\sum_{k=1}^{n}\frac{\sqrt[k]{k}}{\sqrt{n+1-k}}\geq \lim_{n \to +\infty }\frac{1}{\sqrt{n}}\sum_{k=1}^{n}\frac{\sqrt[k]{k}}{\sqrt{n}}\geq \lim_{n \to +\infty }\frac{\sqrt[k]{1}\cdot n}{\sqrt{n}\cdot \sqrt{n}}=1.$

           又
                    $\displaystyle \lim_{n \to +\infty }\frac{1}{\sqrt{n}}\sum_{k=1}^{n}\frac{\sqrt[k]{k}}{\sqrt{n+1-k}}\leq \lim_{n \to +\infty }\frac{1}{\sqrt{n}}\frac{\sqrt[1]{1}\cdot n}{\sqrt{n}\sqrt{1+\frac{1-k}{n}}}=1.$

           其中
                     $\because k^{\frac{1}{k}}\downarrow ,(k\geq 1).$

                     $\therefore k^{\frac{1}{k}}\leq \sqrt[1]{1}.$

           所以原极限为$1$.




二维码

扫码加我 拉你入群

请注明:姓名-公司-职位

以便审核进群资格,未注明则拒绝

2019-12-30 12:17:43
复旦大学2019年数学分析1期中考试
fd2019-4.png

证明:由复合函数式得

                                 $\displaystyle f(+\infty )=\lim_{x\to +\infty }(x^4-e^x)=-\infty .$

                     同时有
                                  $f(+\infty )=+\infty.$

                   同样
                                  $\displaystyle f(-\infty )=\lim_{x\to -\infty }(x^4-e^x)=+\infty .$

                     同时有
                                  $f(-\infty )=-\infty.$

               这两种情形都是矛盾的,因此不存在这样的连续函数。

                              
二维码

扫码加我 拉你入群

请注明:姓名-公司-职位

以便审核进群资格,未注明则拒绝

2019-12-30 12:18:24
复旦大学2019年数学分析1期中考试
fd2019-5.png

证明:
          1、
                      $\because |f(x)|\leq  M,|g(x)|\leq M,\forall \varepsilon > 0,\forall x_1,x_2\in \mathbb{R},\exists \delta > 0,0< |x_1-x_2|< \delta ,s.t.$

                       $|f(x_1)-f(x_2)|< \varepsilon ,|g(x_1)-g(x_2)|< \varepsilon .$

                       $\begin{align*}\therefore |f(x_1)g(x_1)-f(x_2)g(x_2)|&=|f(x_1)g(x_1)-f(x_1)g(x_2)+f(x_1)g(x_2)-f(x_2)g(x_2)|\\\\&\leq |f(x_1)g(x_1)-f(x_1)g(x_2)|+|f(x_1)g(x_2)-f(x_2)g(x_2)|\\\\&=M|g(x_1)-g(x_2)|+M|f(x_1)-f(x_2)|\\\\&=M\varepsilon +M\varepsilon .
\end{align*}$

           2、由已知,有

                        $\forall \varepsilon > 0,\forall x_1,x_2\in \mathbb{R},\exists \delta > 0,0< |x_1-x_2|< \delta ,s.t.$

                          $|f(x_1)-f(x_2)|< \varepsilon,$

                         $\displaystyle \because \lim_{x \to \infty }xg(x)=0,$

                         $\therefore \forall x_1,x_2,\exists X> 0,x_1> x_2> X,s.t.$

                          $|x_2g(x_1)|< \varepsilon ,|x_2g(x_2)|< \varepsilon ,$

               由此,得
  
                          $\begin{align*}\therefore |f(x_1)g(x_1)-f(x_2)g(x_2)|&= \frac{|f(x_1)\cdot x_2g(x_1)-f(x_2)\cdot x_2g(x_2)|}{x_2}\\\\&\leq \frac{|f(x_1)-f(x_2)|\varepsilon }{x_2}\\\\&< \varepsilon .
\end{align*}$


            3、由2可知,结论成立。证明同2类似。






二维码

扫码加我 拉你入群

请注明:姓名-公司-职位

以便审核进群资格,未注明则拒绝

2020-1-1 16:38:49
微信图片_20200101163028.jpg
二维码

扫码加我 拉你入群

请注明:姓名-公司-职位

以便审核进群资格,未注明则拒绝

2020-1-1 16:39:26
微信图片_20200101163058.jpg


二维码

扫码加我 拉你入群

请注明:姓名-公司-职位

以便审核进群资格,未注明则拒绝

2020-1-2 12:54:05
一道数列极限题
若正项级数$\sum\limits_{n=1}^{\infty}a_n$收敛,证明:$$\lim\limits_{n\to\infty}\frac{a_1+2a_2+3a_3+...+na_n}{n}=0.$$

       令
\[S=\sum\limits_{n=1}^\infty
a_n,S_0=0,S_n=\sum\limits_{k=1}^n a_k,\] 则
\[\frac{1}{n}\sum_{k=1}^nka_k=\frac{1}{n}\sum_{k=1}^n\sum_{i=1}^ka_k=\frac{1}{n}\sum_{i=1}^n\sum_{k=i}^na_k=\frac{1}{n}\sum_{i=1}^n(S_n-S_{i-1})
=S_n-\frac{1}{n}\sum_{i=1}^nS_{i-1}\to S-S=0(n\to\infty).\]

注意到$S_0=0$, 可知两者相等.

                                                                                            【博士家园 Hansschwarzkopf  】

更为一般的题:2020年华中科技大学数分最后一题:
QQ图片20200102125326.png


二维码

扫码加我 拉你入群

请注明:姓名-公司-职位

以便审核进群资格,未注明则拒绝

2020-1-5 21:36:59
QQ图片20200105193134.jpg
QQ图片20200105193109.jpg

二维码

扫码加我 拉你入群

请注明:姓名-公司-职位

以便审核进群资格,未注明则拒绝

2020-1-6 08:48:10
一道网友问的问题
证明:
             $\displaystyle \lim_{n \to \infty }\frac{[\sin 1]+[\sin 2]+\cdots +[\sin n]}{n}=-\frac{1}{2}.$

二维码

扫码加我 拉你入群

请注明:姓名-公司-职位

以便审核进群资格,未注明则拒绝

2020-1-8 13:36:49
一道网友问的问题
QQ图片20200108133521.jpg

解,令分子级数和中的最大、最小项分别为$t=m,t=M.(t=1,2,...n)$,则

                                          $\displaystyle \because m^{\frac{1}{tk}}\leq t^{\frac{1}{tk}}\leq M^{\frac{1}{tk}},m^{1/n}=M^{1/n}=1,(n\to \infty )$


                                          $\displaystyle \therefore \sum_{k=1}^{n^2}\frac{n\cdot m^{\frac{1}{tk}}}{n^2+k^2}\leq S_n\leq \sum_{k=1}^{n^2}\frac{n\cdot M^{\frac{1}{tk}}}{n^2+k^2}\rightarrow 0,(n \to \infty )$

                                          $\displaystyle \Rightarrow \lim_{n \to \infty }S_n=0.$

                 
二维码

扫码加我 拉你入群

请注明:姓名-公司-职位

以便审核进群资格,未注明则拒绝

2020-1-12 23:08:01
熊哥博客上的一道中科大2018年数分题

1.png
附件列表
QQ图片20200112230216.png

原图尺寸 59.42 KB

QQ图片20200112230216.png

二维码

扫码加我 拉你入群

请注明:姓名-公司-职位

以便审核进群资格,未注明则拒绝

栏目导航
热门文章
推荐文章

说点什么

分享

扫码加好友,拉您进群
各岗位、行业、专业交流群