全部版块 我的主页
论坛 经济学论坛 三区 微观经济学 经济金融数学专区
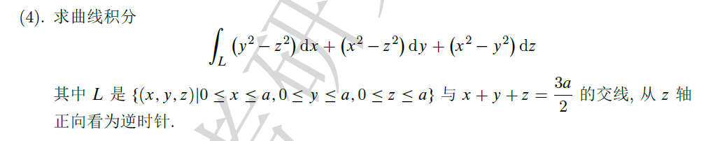
2020-2-17 22:07:32
浙江大学2020年数学考研试题
zd-4.png


解:
                 令$\Gamma :x=x,y=3a/2-x,z=0$,$D_{xoy}:0\leq x\leq a$.

                     $I=\int_{D_{xoy}}((\frac{3}{2}a-x)^2-x^2)dx=\int_{0}^{a}(\frac{9}{4}a^2-3ax)dx=\frac{3}{4}a^3.$
二维码

扫码加我 拉你入群

请注明:姓名-公司-职位

以便审核进群资格,未注明则拒绝

2020-2-23 17:11:51
安徽大学2020年数学分析试题
ah-1.png

解:
                   $\because 0< \sqrt{1-x_n}< 1,\\\\
\therefore 0< x_{n+1}=1-\sqrt{1-x_n}< 1,$

                又
                     $\because x_{n+1}=1-\sqrt{1-x_n},\\\\
\displaystyle \therefore \frac{x_{n+1}}{x_n}=\frac{1}{2-x_{n+1}}< \frac{1}{2}< 1,$

               所以数列有极限。设
                    
                       $\displaystyle \lim_{n \to \infty }x_n=l,$

                则
                        $l=1-\sqrt{1-l},\rightarrow l=1.$

                 而
                         $\displaystyle \frac{x_{n+1}}{x_n}=\frac{1}{2-x_{n+1}}=1,(n \to \infty )$


二维码

扫码加我 拉你入群

请注明:姓名-公司-职位

以便审核进群资格,未注明则拒绝

2020-2-23 17:12:21
安徽大学2020年数学分析试题
ah-2.png

1、解
                        $\displaystyle \lim_{x\to 0}(\cos\sqrt{x})^{\frac{1}{x}}=\lim_{x\to 0}\exp(\frac{\cos\sqrt{x}}{x})=\lim_{x\to 0}\exp(\frac{1-\frac{1}{2}x}{x})=\infty .$

2、解
                       $\displaystyle \lim_{x\to 0}\frac{e^x-\cos2x-x}{\sqrt{1+4x}-2\ln(1+x)-1}=\lim_{x\to 0}\frac{1+x+\frac{1}{2}x^2-1-\frac{4}{2}x^2-x}{1+2x-2x^2-2x-x^2-1}=\lim_{x\to 0}\frac{-\frac{3}{2}x^2}{-3x^2}=\frac{1}{2}.$   


  
二维码

扫码加我 拉你入群

请注明:姓名-公司-职位

以便审核进群资格,未注明则拒绝

2020-2-23 17:12:53
安徽大学2020年数学分析试题
ah-3.png


证明:
            (1)、由$f(x)$的一致连续性,有

                             $\forall \varepsilon > 0,\forall x_1,x_2\in (a,b),\exists \delta_1 > 0,0< |x_1-x_2|< \delta_1 ,s.t.\\
|f(x_1)-f(x_2)|< \varepsilon ,$

                       由$g(x)$的一致连续性,有

                             $\forall \varepsilon > 0,\forall x_1,x_2\in (a,b),\exists \delta_2 > 0,0< |x_1-x_2|< \delta_2 ,s.t.\\
|g(x_1)-g(x_2)|< \varepsilon ,$

                      取$\delta =\min\{\delta_1,\delta_2\},$

                 因此,有

                            $\forall \varepsilon > 0,\forall x_1,x_2\in (a,b),\exists \delta > 0,0< |x_1-x_2|< \delta,s.t.$

                            $|f(x_1)-f(x_2)|< \varepsilon ,$

                  此时,
                              $|g(f(x_1))-g(f(x_2))|< \varepsilon. $

                       成立。

            (2)、取
                               $x_1=\sqrt{2n\pi},x_2=\sqrt{2n\pi+\frac{\pi}{2}},(n=0,1,2,\cdots )$

                        显然$x_1,x_2\in [0,+\infty )$。此时,有

                                $|x_1-x_2|=|\frac{\frac{\pi}{2}}{\sqrt{2n\pi}+\sqrt{2n\pi+\frac{\pi}{2}}}|\rightarrow 0,(n \to \infty )$
                       即$\delta $可以取任意小的数,而些时

                                $|\cos x_1^2-\cos x_2^2|=|\cos2n\pi-\cos(2n\pi+\frac{\pi}{2})|=1\nrightarrow  0.$

                    因此,原函数在$ [0,+\infty )$上不一致连续。



二维码

扫码加我 拉你入群

请注明:姓名-公司-职位

以便审核进群资格,未注明则拒绝

2020-2-23 19:17:35
安徽大学2020年数学分析试题
ah-4.png


                $\displaystyle S(n\pi)=\int_{0}^{n\pi}|\sin2t|dt=n\int_{0}^{\pi}|\sin2t|dt=2n.$

                 $\displaystyle \lim_{x \to +\infty }\frac{S(x)}{x}=\lim_{x \to +\infty }\frac{\displaystyle \int_{0}^{x}|\sin2t|dt}{x}=\lim_{n \to +\infty }\frac{\displaystyle \int_{0}^{n\pi}|\sin2t|dt}{n\pi}=\lim_{n \to +\infty }|\sin2n\pi|=0.$

想想觉得这个极限求错了,好象看到过有类似的求极限题(向禹),正确的解法如下:

                          $\displaystyle \forall x> 0,\exists \in \mathbb{N},s.t.n\pi\leq x\leq (n+1)\pi.$

            并且
                           $\displaystyle x\to +\infty \Leftrightarrow n \to \infty ,$

            于是
                            $\displaystyle \frac{\displaystyle \int_{0}^{n\pi}|\sin2t|dt}{(n+1)\pi}\leq \frac{\displaystyle \int_{0}^{x}|\sin2t|dt}{x}\leq \frac{\displaystyle \int_{0}^{(n+1)\pi}|\sin2t|dt}{n\pi},$

            注意到
                             $\because \displaystyle \int_{0}^{n\pi}|\sin2t|dt=n\int_{0}^{\pi}|\sin2t|dt=2n.$

                             $\therefore \displaystyle \frac{2n}{(n+1)\pi}\leq \frac{\int_{0}^{x}|\sin2t|dt}{x}\leq\frac{2(n+1)}{n\pi},$

             由夹逼法知

                              $\displaystyle \frac{\displaystyle \int_{0}^{x}|\sin2t|dt}{x}\rightarrow \frac{2}{\pi},(n \to \infty ).$


注:这是个好题,非常容易解错。看似简单,其实不然。


二维码

扫码加我 拉你入群

请注明:姓名-公司-职位

以便审核进群资格,未注明则拒绝

2020-2-24 14:41:05
安徽大学2020年数学分析题
ah-7.png


解:    令
                      $\displaystyle I=\oint _L(\frac{y}{x^2+4y^2}+y)dx+(\frac{x}{x^2+4y^2}+2x)dy,$
               而
                       $\displaystyle P=\frac{y}{x^2+4y^2}+y,\displaystyle \frac{\partial P}{\partial y}=\frac{x^2-4y^2}{(x^2+4y^2)^2}+1,$

                        $\displaystyle Q=\frac{x}{x^2+4y^2}+2x,\displaystyle \frac{\partial Q}{\partial x}=\frac{4y^2-x^2}{(x^2+4y^2)^2}+2,$

               利用格林公式计算
                         $\displaystyle I=\iint_D(\frac{\partial Q}{\partial x}-\frac{\partial P}{\partial y})dxdy=\iint_D(\frac{8y^2-2x^2}{(x^2+4y^2)^2}+1)dxdy=$


二维码

扫码加我 拉你入群

请注明:姓名-公司-职位

以便审核进群资格,未注明则拒绝

2020-2-26 20:50:38
安徽大学2020年数学分析试题
ah-5.png


解:
               $\displaystyle f_x(0,0)=\lim_{x\to 0}\frac{f(x,0)-f(0,0)}{x-0}=\lim_{x\to 0}\frac{0-0}{x}=0,$

                $\displaystyle f_y(0,0)=\lim_{y\to 0}\frac{f(0,y)-f(0,0)}{y-0}=\lim_{x\to 0}\frac{\frac{y\sqrt{y}}{y^2}\ln(1+y^2)-0}{y}=0.$

               $\displaystyle \lim_{(x,y)\rightarrow (0,0)}\frac{f(x,y)-f(0,0)-f_x(0,0)x-f_y(0,0)y}{\sqrt{x^2+y^2}}=\lim_{(x,y)\rightarrow (0,0)}\frac{\frac{y\sqrt{|x-y|}}{x^2+y^2}\ln(1+x^2+y^2)}{\sqrt{x^2+y^2}}\leq \lim_{(x,y)\rightarrow (0,0)}\frac{y\sqrt{|x|}}{\sqrt{2xy}}=0.$

               故$f(x,y)$在$(0,0)$可微。



二维码

扫码加我 拉你入群

请注明:姓名-公司-职位

以便审核进群资格,未注明则拒绝

2020-2-26 20:51:23
安徽大学2020年数学分析试题
ah-6.png

1、证明:因为
                       $|f_n(x)-0|=n^\alpha xe^{-nx^2}\rightarrow 0,(n \to \infty ).$

               与$x$无关。所以$f_n(x)$在$[0,\infty )$上一致收敛。


2、第2小题与“湖北大学2012年”试题相同,参见如下
QQ图片20200227191608.png


二维码

扫码加我 拉你入群

请注明:姓名-公司-职位

以便审核进群资格,未注明则拒绝

2020-2-29 15:37:33
1.jpg

二维码

扫码加我 拉你入群

请注明:姓名-公司-职位

以便审核进群资格,未注明则拒绝

2020-3-1 21:02:10
安徽大学2020年数学分析试题
QQ图片20200301210054.png

解:   令
                       $F(x,y,z)=\ln x+2\ln y+4\ln z+\lambda (x^2+y^2+z^2-7r^2),$

           求条件极值

                       $\begin{cases}
F_x&=\frac{1}{x}+2\lambda x=0 \\
F_y&=\frac{2}{y}+2\lambda x=0 \\
F_z&=\frac{4}{z}+2\lambda x=0\\
F_\lambda &=x^2+y^2+z^2-7r^2=0
\end{cases}$

            解方程组,得

                            $x^2=-\frac{1}{2\lambda },y^2=-\frac{1}{\lambda },z^2=-\frac{2}{\lambda },$

                             $\lambda =-\frac{1}{2r^2}.x=r.y=\sqrt{2}r,z=2r.$

            由题意,得到极值点唯 一,故有最大值为

                              $\therefore f(x,y,z)=\ln x+2\ln y+4\ln z=\ln(xy^2z^4)\leq \ln(r\cdot 2r^2\cdot 16r^4)=\ln32r^7.$


             由上式,可令
                              $x=a,y=b,z=c,$

                   则由条件有

                              $a^2+b^2+c^2=7r^2.$

                      此时显然有

                              $ab^2c^4\leq 32(r^2)^{\frac{7}{2}}=32(\frac{a^2+b^2+c^2}{7})^{\frac{7}{2}}\leq 32(\frac{a+b+c}{7})^7\leq 1024(\frac{a+b+c}{7})^7.$

                              证毕。




二维码

扫码加我 拉你入群

请注明:姓名-公司-职位

以便审核进群资格,未注明则拒绝

2020-3-9 15:23:34
武汉大学2019年数学分析真题
一,
1)求极限$\lim\limits _{x\rightarrow 0}\left( 1+\sin x\right) ^{\tfrac {1}{x}}.$
解:
$$由罗比达法则,\lim _{x\rightarrow 0}{\dfrac {\ln\left( 1+\sin x\right) }{x}}
=\lim _{x\rightarrow 0}{\dfrac {\cos x}{(1+\sin x)}} = 1$$

$$因此\lim _{x\rightarrow 0}\left( 1+\sin x\right) ^{\tfrac {1}{x}}
=e^{\lim _{x\rightarrow 0}{\dfrac {\ln\left( 1+\sin x\right) }{x}}}=e $$

2) $f(x) =\ln \left(\sqrt{1+x^2}-1\right ), $求$f(0)^{(2k+1)} ,k$为自然数.
解:$$f'(x) = {\dfrac{1}{\left( x+\sqrt{x^2+1}\right) }}\cdot(1+\dfrac{1}{\sqrt{x^2+1}} )
= \dfrac{1}{\sqrt{x^2+1}}$$
$$f^{(2)}(x) = ((x^2+1)^{-\tfrac{1}{2}})' = -(x^2+1)^{-\tfrac {3}{2}}\cdot x $$
$$由Leibniz公式,f^{(2k+1)}(x) = [(1+x^2)^{\tfrac{1}{2}} ]^{(2k)} = [-(1+x^2)^{\tfrac{3}{2}}\cdot x ]^{(2k-1)}
=(-1)[(1+x^2)^{-\tfrac{3}{2}}]^{2k-1}\cdot x + C^1_{2k-1}(-1)\cdot[(1+x^2)^{-\tfrac{3}{2}}]$$
$$= P_1\cdot x + (-1)^1\cdot (2k-1)\cdot 1\cdot [(x^2+1)^{-\tfrac{3}{2}}]^{(2k-2)}
=  P_1\cdot x + (-1)^1\cdot (2k-1)\cdot 1\cdot[3(x^2+1)^{-\tfrac{5}{2}}\cdot x]^(2k-3)$$
$$\xrightarrow{对第二项再次使用Leibniz公式} = P_2\cdot x + (-1)^2\cdot(2k-1)\cdot(2k-3)\cdot 3\cdot 1
\cdot[(x^2+1)^{-\tfrac{5}{2}}]^{2k-4} $$
$$=\dotsm = P_i\cdot x + (-1)^i\cdot\dfrac{(2k-1)!!}{(2k-2i+1)!!}
\cdot(2i-1)!!\cdot[(x^2+1)^{-\tfrac{2i+1}{2}}]^{(2k-2i)} $$
$$=\dotsm = P_k\cdot x + (-1)^k\cdot [(2k-1)!!]^2\cdot [(x^2+1)^{-\tfrac{2k+1}{2}}]^{(0)} (其中P_i是关于(x^2+1)的多项式)$$
$$因此 f^{2k+1}(0) = (-1)^k\cdot[(2k-1)!!]^2 $$

3)$f(x,y) = x^yy^x$,求$f(x,y)$的全微分.
解:$$因\dfrac{\partial f}{\partial x}=x^{y-1}y^{x+1} + x^yy^x\ln y ;
\dfrac{\partial f}{\partial y}=x^{y+1}y^{x-1} + x^yy^x\ln x $$
$$均在非(0,0)点连续,因此f在非(0,0)点可微,df
= \dfrac{\partial f}{\partial x}dx + \dfrac{\partial f}{\partial y}dy $$
$$= (x^{y-1}y^{x+1} + x^yy^x\ln y)dx + (x^{y+1}y^{x-1} + x^yy^x\ln x)dy $$
$$在(0,0)点处,取任意方向\theta ,求其方向导数 f_{\theta}=\lim_{r\rightarrow0}
{\dfrac{f(r\cos\theta,r\sin\theta)-f(0,0)}{r}} $$
$$ = \lim_{r\rightarrow0}(er\cos\theta)^{\sin\theta}\cdot(r\sin\theta)^{r\cos\theta}
+(er\sin\theta)^{\cos\theta}\cdot(r\cos\theta)^{r\sin\theta}= 0 (当\theta = 0或\dfrac{\pi}{2})或1 (当\theta\neq 0或\dfrac{\pi}{2})$$$$ 因此f(x,y)在(0,0)处不可微$$

二,计算下面积分
1)$\int_{-1}^{1} {\dfrac{1+x^2}{1+x^4}}dx.$
解:$$当x\in (-1,1),\dfrac{1}{1+x^4} = \sum_{n=0}^{\infty}(-x^4)^n
,\dfrac{x^2}{1+x^4}=\sum_{n=0}^{\infty}(-1)^n\cdot x^{4n+2} $$
$$故,\dfrac{1+x^2}{1+x^4} = \sum_{n=0}^{\infty} (-1)^{n}(x^{2n}+x^{2n+2} )
=\sum_{n=0}^{\infty} (-1)^{[\tfrac{n}{2}]}x^{2n} $$
$$取极小正值\delta ,\int_{-1+\delta}^{1+\delta}{\dfrac{1+x^2}{1+x^4}}dx
= \int_{-1+\delta}^{1+\delta} \sum_{n=0}^{\infty} (-1)^{[\tfrac{n}{2}]}x^{2n}dx $$
$$因\sum_{n=0}^{\infty} (-1)^{[\tfrac{n}{2}]}x^{2n}dx 在(-1,1)上一致收敛
,故\int_{-1+\delta}^{1+\delta} \sum_{n=0}^{\infty} (-1)^{[\tfrac{n}{2}]}x^{2n}dx
= \sum_{n=0}^{\infty} (-1)^{[\tfrac{n}{2}]}\int_{-1+\delta}^{1+\delta} x^{2n}dx
= \sum_{n=0}^{\infty} (-1)^{[\tfrac{n}{2}]}\dfrac{2}{2n+1}(1-\delta)^{2n+1}$$
$$于是,I = \int_{-1}^{1} {\dfrac{1+x^2}{1+x^4}}dx
= \lim_{\delta\rightarrow0}\int_{-1+\delta}^{1+\delta}{\dfrac{1+x^2}{1+x^4}}dx
= \lim_{\delta\rightarrow0} \sum_{n=0}^{\infty} (-1)^{[\tfrac{n}{2}]}\dfrac{2}{2n+1}(1-\delta)^{2n+1}$$
$$ = \sum_{n=0}^{\infty} (-1)^{[\tfrac{n}{2}]}\dfrac{2}{2n+1}$$

2)$\iiint _{V} {\dfrac{dxdydz}{(1+x+y+z)^{3}}}$,$V=\{{x+y+z\leq{1}}, x,y,z\geq0 \}$
解:$$\iiint _{V} {\dfrac{dxdydz}{(1+x+y+z)^{3}}} = \int_0^1 dz\int_0^{1-z}dy\int_0^{1-z-y}
\dfrac {1}{(1+x+y+z)^3}=(-\dfrac{1}{2})\int_0^1 dz\int_0^{1-z}(\dfrac{1}{4}-\dfrac{1}{(1+y+z)^2})dy $$
$$=(-\dfrac{1}{2})\int_0^1(\dfrac{1-z}{4}+\dfrac{1}{2}-\dfrac{1}{1+z})dz
=\dfrac{\ln 2}{2}-\dfrac{5}{16} $$

3)$\int_L{\dfrac{xdy-ydx}{x^2+y^2}}$,$L$是不过原点的简单封闭曲线.
解:$$由于(\dfrac{x}{x^2+y^2})_x = \dfrac{y^2 - x^2}{(x^2+y^2)^2},
(\dfrac{-y}{x^2+y^2})_y = \dfrac{y^2 - x^2}{(x^2+y^2)^2} $$
$$ 设D为L所包围区域, 若(0,0)\in D,则由Green公式知所求积分与路径无关
\int_L{\dfrac{xdy-ydx}{x^2+y^2}} = 0;$$
$$ 若(0,0)\notin D,由于\dfrac{xdy-ydx}{x^2+y^2}在D上(0,0)处不连续,故积分不满足Green公式条件$$
$$故以(0,0)为圆心, 某极小正r为半径做圆O,则{L^{+}+O^{-}}上满足Green公式条件$$
$$ 则\int_L{\dfrac{xdy-ydx}{x^2+y^2}} = \int_{L^{+}+O^{-}}{\dfrac{xdy-ydx}{x^2+y^2}}
- \int_{O^{-}}{\dfrac{xdy-ydx}{x^2+y^2}} = \int_{O^{+}}{\dfrac{xdy-ydx}{x^2+y^2}} $$
$$令x=r\cos\theta; y=r\sin\theta, 则上式= \int_0^{2\pi}{\dfrac{r^2\cos^2\theta d\theta
+r^2\sin^2\theta d\theta}{r^2}}= \int_0^{2\pi}d\theta=2\pi $$


三,1)判断$\sum_{n=1}^{\infty}\left({\sqrt[n]{n}-1}\right)^2$的敛散.
解:$$设I_n=\left({\sqrt[n]{n}-1}\right)^2,则n = (\sqrt{I_n}+1)^{n}>1+C^4_{n}\cdot I_n^2
\Rightarrow I_n<(\dfrac {n-1}{C_n^4})^{\tfrac{1}{2}} \sim n^{-\tfrac{3}{2}}
$$
$$由于\sum_{n=0}^{\infty} n^{-\tfrac{3}{2}}收敛,由比较判别知\sum_{n=0}^{\infty}I_n收敛$$


2)若$\sum_1^{\infty}a_n\sin^nx$在[0,$2\pi$]收敛,请问它是否一致收敛?
解:$$因为\sum_1^{\infty}a_n\sin^nx在[0,2\pi]收敛,则 \sum_1^{\infty}a_n\sin^n(\dfrac{\pi}{2})
=\sum_1^{\infty}a_n收敛,即\sum_1^{\infty}a_n关于x\in[0,2\pi]一致收敛 $$
$$又因 \sin^nx 对于任意x\in[0,2\pi],关于n单调,且\left|\sin^nx \right| \le 1$$
$$由abel判别知,级数\sum_1^{\infty}a_n\sin^nx[0,2\pi]上一致收敛$$


四,1)$f(x)$连续可微,$f(0)$不为$0$,其Maclaurin级数(Cauchy余项):
$$f(x) = f(0)+f^{'}(0)x+\dfrac{f^{(2)}(0)}{2!}x^2+...+\dfrac{f^{(n)}(0)}{n!}x^n+\dfrac{f^{(n+1)}(\theta x)}{n!}\left(1-\theta\right)^nx^{n+1}$$
证明:$\lim_{x\rightarrow0}\theta = 1-\sqrt [n]{\dfrac{1}{n+1}}$\\
证:$$ 令R_n=f(x) - \sum_{k=0}^{n}\frac{f^{(k)}(0)}{k!}\cdot x^k,则有 $$
$$R_n^{'} (x) = f'(x) - \sum_{k=1}^{n}\frac{f^(k)(0)}{(k-1)!}\cdot x^{k-1}$$
$$R_n^{(2)}(x) = f^{(2)}(x) - \sum_{k=2}^{n}\frac{f^(k)(0)}{(k-2)!}\cdot x^{k-2}$$
$$\dotsm$$
$$R_n^{(n)}(x) = f^{(n)}(x) - f^{(n)}(0)$$
$$R_n^{(n+1)}(x) = f^{(n+1)}(x)$$
$$故R_n^{'}(0) = R_n^{(2)}(0) = \dotsm = R_n^{(n)}(0)$$
$$则R_n(x)= \int_0^x R_n^{'} (t) dt= \int_0^x R_n^{'} (t)-R_n^{'} (0) d(t-x)
= -\int_0^x (t-x)R_n^{(2)}(t)dt = \dfrac{1}{2!}\int_0^x (x-t)^2 R_n^{(3)}(t)dt$$
$$=\dotsm = \dfrac{1}{n!}\int_0^x (x-t)^n R_n^{(n+1)}(t)dt
= \dfrac{1}{n!} \int_0^x (x-t)^n f^(n+1)(t)dt  $$
由中值定理知,$$R_n(x) = \dfrac {f^{n+1}(\theta_1x)}{(n+1)!}\cdot x^{n+1}$$
因此$$\dfrac {f^{n+1}(\theta_1x)}{(n+1)!}\cdot x^{n+1} =  \dfrac{f^{(n+1)}(\theta x)}{n!}\left(1-\theta\right)^nx^{n+1}$$
将上等式两边同时取$$x\rightarrow0   $$ 极限,即得题设所需结果。



2)$\{a_n\}严格单调递减,a_n\rightarrow0\left(当n\rightarrow0\right),证明:
\sum_{n=1}^{\infty}a_n收敛\leftrightarrow\sum_{n=1}^{\infty}n\left(a_n-a_{n+1}\right)收敛$
证:$$必要性,由于0<\sum_{n=1}^{\infty}n\left(a_n-a_{n+1}\right) = \sum_{n=1}^{\infty}a_n - na_{n+1}
<\sum_{n=1}^{\infty}a_n                     (1)$$
$$显然,\sum_{n=1}^{\infty}n\left(a_n-a_{n+1}\right)收敛.$$
$$充分性,由于\{a_n\}严格单调递减,a_n\rightarrow0,因此a_n>0,且当m>n时,a_m<a_n$$
$$反证法,若\sum_{n=1}{\infty}a_n不收敛,则\exists p\in N^{+},对任意n\in N^{+},\sum_{k=n}^{n+p}a_n>\epsilon_0 (i)$$
$$由于\sum_{n=1}^{\infty}n\left(a_n-a_{n+1}\right)收敛,则\exists N_1 \in N^{+},对N>N_1,
使\sum_{n=N}^{N+p}n\left(a_n-a_{n+1}\right) < \epsilon(\forall \epsilon > 0)$$
$$即,\sum_{n=N+1}{N+p}a_n+Na_N-(N+p)a_{N+p+1}<\epsilon$$
$$将(i)代入,得Na_N-(N+p)a_{N+p+1}<\epsilon-\epsilon_0,由\epsilon的任意性,知Na_N-(N+p)a_{N+p+1}<0
,即\dfrac{a_N}{a_{N+p+1}}<\dfrac{N+p}{N} (ii) $$
$$由于\exists N_2 \in N^{+},当n>N_2, \dfrac{n+p}{n}\rightarrow 1 $$
$$因此 对于N>max{N_1,N_2},由(ii)式知,\dfrac{a_N}{a_{N+p+1}}<1,与\{a_n\}递减矛盾,因此\sum_{n=1}^{\infty}a_n收敛$$

                                                                                             

二维码

扫码加我 拉你入群

请注明:姓名-公司-职位

以便审核进群资格,未注明则拒绝

2020-3-9 15:25:48
订正:
一、2)小题求一阶导数时,错了:

$$f'(x)=\frac{1}{\sqrt{1+x^2}-1}\cdot\frac{1}{2}\frac{1}{\sqrt{1+x^2}}\cdot2x\not=\frac{1}{\sqrt{1+x^2}}$$

另外看解答好像很复杂,应该不是理想的答案(就这一小题,让你做个半小时或1小时,后面的还用做吗?)。

第一,2)的解答:
因为
$$y'=\frac{1}{\sqrt{1+x^2}-x}\cdot\left(\frac{1}{2}\frac{1}{\sqrt{1+x^2}}\cdot2x-1\right)=-\frac{1}{1+x^2}$$
于是
$$y'(1+x^2)=-1$$
  两边应用莱布尼茨定理求$n$阶导数得
$$y^{(n+1)}\cdot(1+x^2)+n\cdot2x+\frac{n(n-1)}{2}y^{(n-1)}\cdot2=0$$
  当$x\rightarrow0$时,得到
$$y^{(n+1)}+n(n-1)y^{(n-1)}=0$$
  即
$$\frac{y^{(n+1)}}{y^{(n-1)}}=-n(n-1)$$
  又因为
$$\frac{y^{(2k+1)}}{y^{(2k-1)}}\cdot\frac{y^{(2k-1)}}{y^{(2k-3)}}...\frac{y^{(5)}}{y^{(3)}}\cdot\frac{y'''}{y'}=\frac{y^{(2k+1)}}{y'}$$
易知$y'=-1$,故
$$y^{(2k+1)}(0)=(-1)^{k+1}2k!!(2k-1)!!$$

第一,3)的解答:
  设$g(x)=x^mm^x$,$m$为常数,则
$$g(x)=e^{\ln{(x^mm^x)}}=e^{m\ln{x}}\cdot e^{x\ln{m}}$$
于是
$$g'(x)=x^mm^x\left(\frac{1}{x}+\ln{m}\right)$$
  将$m$替换为$y$,得到
$$\frac{\partial{f}}{\partial x}=x^yy^x\left(\frac{1}{x}+\ln{y}\right)$$
\par 类似的,可得
$$\frac{\partial{f}}{\partial{y}}=x^yy^x\left(\frac{1}{y}+\ln{x}\right)$$
  于是
$$df(x,y)=x^yy^x\left(\frac{1}{x}+\ln{y}\right)dx+x^yy^x\left(\frac{1}{y}+\ln{x}\right)dy$$


第二,1)的解答:
设$1+x^4=(x^2+ax+1)(x^2+bx+1)$,左边展开和右边对应系数,解得$a=\pm\sqrt{2},b=\pm\sqrt{2}$,取$a=\sqrt{2},b=-\sqrt{2}$. (注:易知$1+x^4$有4个虚根,故有四个虚因式,而两两虚因式的积为实因式(且为二次),故作以上因式分解。详见欧拉的《无穷分析引论》第30小节.)
又被积函数为偶函数,且积分限对称,故
$$\int_{-1}^{1}\frac{1+x^2}{1+x^4}\mathrm{d}x$$ $$=2\int_{0}^{1}\frac{1+x^2}{1+x^4}\mathrm{d}x$$ $$=2\cdot\frac{1}{2}\int_{0}^{1}\frac{2(1+x^2)}{1+x^4}\mathrm{d}x$$

$$\int_{0}^{1}\frac{2(1+x^2)}{1+x^4}\mathrm{d}x$$ $$\int_{0}^{1}\frac{(x^2+\sqrt{2}x+1)+(x^2-\sqrt{2}x+1)}{(x^2+\sqrt{2}x+1)(x^2-\sqrt{2}x+1)}\mathrm{d}x$$
$$=\int_{0}^{1}\left({\frac{1}{(x^2+\sqrt{2}x+1)}+\frac{1}{(x^2-\sqrt{2}x+1)}}\right)\mathrm{d}x$$
$$=\int_{0}^{1}{\frac{1}{(x+\frac{\sqrt{2}}{2})^2+\frac{1}{2}}}\mathrm{d}x+\int_{0}^{1}{\frac{1}{(x-\frac{\sqrt{2}}{2})^2+\frac{1}{2}}}\mathrm{d}x$$
$$=\sqrt{2}\arctan{(\sqrt{2}x+1)}\Big |_0^1+\sqrt{2}\arctan{(\sqrt{2}x-1)}\Big |_0^1$$
$$=\sqrt{2}\arctan{(\sqrt{2}+1)}-\sqrt{2}\cdot\frac{\pi}{4}+\sqrt{2}\arctan{(\sqrt{2}-1)}+\sqrt{2}\cdot\frac{\pi}{4}$$
$$=\sqrt{2}\left(\arctan{(\sqrt{2}+1)}+\arctan{(\sqrt{2}-1)} \right)$$
$$=\sqrt{2}\cdot\arctan{(+\infty)}\quad\text{(反正切函数和公式)}$$
$$=\sqrt{2}\cdot \frac{\pi}{2}$$
于是
$$\int_{-1}^{1}\frac{1+x^2}{1+x^4}\mathrm{d}x=\frac{\pi}{\sqrt{2}}$$
注:吉米多维奇的《数学分析习题集》亦收录此题(第四章,定积分,题号2250,书中提示用换元法$x-\frac{1}{x}=t$进行计算)。



二维码

扫码加我 拉你入群

请注明:姓名-公司-职位

以便审核进群资格,未注明则拒绝

2020-3-13 07:26:03
微分中值定理中常用 的凑微分式
微信图片_20200313072356.jpg

二维码

扫码加我 拉你入群

请注明:姓名-公司-职位

以便审核进群资格,未注明则拒绝

2020-3-19 08:39:48

一个隐数列的极限问题:2020年哈尔滨工程大学考研试题:

题目:设$f_n(x)=\sin x+\sin ^2 x+\cdots +\sin^n x$, $n\ge 2$.

(1)        证明:$f_n(x)=1$在区间$(0,\pi/2)$有且只有一个根$x_n$。

(2)        求极限$\lim\limits_{n\to \infty}x_n$.

解:(1)对于$n\ge 2$, 因为
$$
f_n\left(\frac{\pi}{6}\right)=\frac{1}{2}+\left(\frac{1}{2}\right)^2+\cdots+\left(\frac{1}{2}\right)^n
$$
$$
<\frac{\frac{1}{2}}{1-\frac{1}{2}}=1.
$$
令$\alpha=\arcsin \frac{\sqrt{5}-1}{2}$. 则
$$
\alpha\in (\pi/6,\pi/2),\sin \alpha=\frac{\sqrt{5}-1}{2}.
$$
又因为
$$
f_n(\alpha)\ge \sin \alpha+\sin^2\alpha
$$
$$
=\frac{\sqrt{5}-1}{2}+\left(\frac{\sqrt{5}-1}{2}\right)^2=1.
$$
因为函数$f_n(x)$在区间$[\pi/6,\alpha]$上连续,所以存在$x_n\in [\pi/6,\alpha]$使得$f_n(x_n)=1$. 则$f_n(x)=1$在区间$(0,\pi/2)$至少有一个根$x_n$。

因为
$$
f_n'(x)=\cos x+2\sin x\cos x+\cdots+n\sin^{n-1}x\cos x>0,x\in (\pi/6,\alpha),
$$
故$f_n(x)=1$在区间$(0,\pi/2)$有且只有一个根$x_n$。

(2)在区间$[\pi/6,\alpha]$上函数列
$$
f_n(x)=\frac{\sin x(1-\sin ^nx)}{1-\sin x}
$$
满足
$$
\left|f_n(x)-\frac{\sin x}{1-\sin x}\right|=\frac{\sin ^{n+1}x}{1-\sin x}
$$
$$
\le \frac{\sin ^{n+1}\alpha}{1-\sin \pi/6}=2\sin^{n+1}\alpha\to 0,n\to \infty.
$$
所以
函数列在区间$[\pi/6,\alpha]$上一致收敛,$f_n(x_n)=1$是连续函数,所以
$$
\lim\limits_{n\to \infty}f_n(x_n)=1.
$$

$$
\lim\limits_{n\to \infty}\frac{\sin x_n(1-\sin ^nx_n)}{1-\sin x_n}=1.
$$
因为$x_n\in (\pi/6,\alpha)$, 所以
$$
\lim\limits_{n\to \infty}\frac{\sin x_n}{1-\sin x_n}=1.
$$
所以
$\lim\limits_{n\to \infty}\sin x_n=\frac{1}{2}.$
因为$\sin x$在区间$(0,\pi/2)$是严格单调连续函数,因此
$\lim\limits_{n\to \infty}x_n=\frac{\pi}{6}$.
【解题完毕】


注记:该题是送分题。陈纪修编《数学分析》第五章习题:对每一个$n\ge 2$的整数,证明方程
$$
x^n+x^{n-1}+\cdots+x=1
$$
在区间$(0,1)$上有且仅有一个根$x_n$并求极限$\lim\limits_{n\to \infty}x_n$.


                                                                       (作者: 刘玉记    摘自博士家园数学论坛)


二维码

扫码加我 拉你入群

请注明:姓名-公司-职位

以便审核进群资格,未注明则拒绝

2020-3-20 13:37:41
11.jpg
0.png
1.png
2.png
3.png






附件列表
4.jpg

原图尺寸 69.04 KB

4.jpg

二维码

扫码加我 拉你入群

请注明:姓名-公司-职位

以便审核进群资格,未注明则拒绝

2020-3-25 15:10:07
1.png
2.png


二维码

扫码加我 拉你入群

请注明:姓名-公司-职位

以便审核进群资格,未注明则拒绝

2024-10-10 09:10:01
感谢楼主慷慨分享!
二维码

扫码加我 拉你入群

请注明:姓名-公司-职位

以便审核进群资格,未注明则拒绝

栏目导航
热门文章
推荐文章

说点什么

分享

扫码加好友,拉您进群
各岗位、行业、专业交流群