全部版块 我的主页
论坛 提问 悬赏 求职 新闻 读书 功能一区 经管百科 爱问频道
670 0
2019-11-06
不知道图片清不清楚<br>
就是我看到一篇论文是这样计算估计误差的<br>
↓<br>
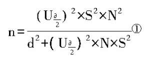
根据简单随机抽样绝对精度决定样本量的公式<br>
(公式打不上,图片第二张)<br>
本次调查我们采用随机抽样的方式对东北财经大学总共发放了n=200份问卷(包含100份电子问卷、100份纸质问卷) 实际收回192份,实际有效问卷173份,从而估算出我们的实际误差d=7.1%,d落在区间的范围[5%, 8%]的范围内,因此, 7.1%是实际的有效误差。
这个公式是什么意思啊,还有d是怎么计算的啊?<br>
真心求助,希望看懂的可以帮忙解答一下<br>

1573054294209716.png 1573054294839108.png
二维码

扫码加我 拉你入群

请注明:姓名-公司-职位

以便审核进群资格,未注明则拒绝

栏目导航
热门文章
推荐文章

说点什么

分享

扫码加好友,拉您进群
各岗位、行业、专业交流群