全部版块 我的主页
论坛 计量经济学与统计论坛 五区 计量经济学与统计软件
5745 16
2019-11-20
[color=rgba(0, 0, 0, 0.298)]文章来源于不止点滴[color=rgba(0, 0, 0, 0.298)] [color=rgba(0, 0, 0, 0.298)],作者秋枫澜
[color=rgba(0, 0, 0, 0.298)]

[color=rgba(0, 0, 0, 0.298)]

[color=rgba(0, 0, 0, 0.298)]

常用的计量方法很多,从最基础的最小二乘法(OLS)到面板数据固定效应方法(FE),从工具变量法(IV)到准自然实验方法(如DID),等等。在做论文的过程中,经常会听到有人在抱怨:乱花渐欲迷人眼,到底应该用哪一种方法呢?这其实反映出两个问题,一是对各个方法的前提和逻辑不清楚,二是没有理解各个方法之间的内在联系与区别。事实上,以OLS为起点,大多数方法都可以用一条线串起来,彼此之间并不是孤零零的。因此,今天的这篇推文简单说一说我对几个方法关系的一个理解逻辑,以供大家尤其是初学者参考。


一、扰动项


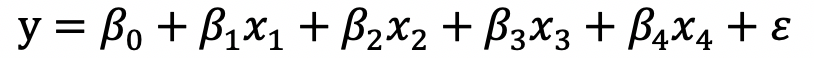
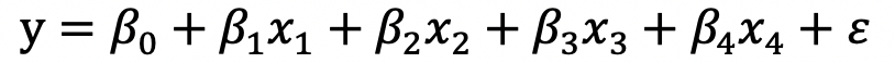
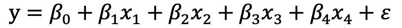
对于应用微观计量而言,最核心的目的在于因果识别。所谓因果识别,直白点讲,就是看在其他因素给定的条件下,究竟是不是X(因)导致了Y(果)。换一种具体的方式来表述,以如下的线性模型为例:

1.png


其中,y是被解释变量,x1是感兴趣的核心解释变量,x2-x4是控制变量,系数 2.png 反映的是核心解释变量的变动引起的被解释变量的变动。准确估计出回归系数,便是应用微观计量的目的。

有了这个认知之后,我们再来分析上面的线性模型。很显然,作为一个完整的计量模型,一般由三部分构成:被解释变量、解释变量和扰动项。基于研究的侧重点,解释变量还可以区分为核心解释变量以及控制变量。什么是扰动项呢?扰动项也称为随机误差项,我们可以把它当做一个包纳万物的黑箱,在建模过程中所有我们没考虑到的、不想考虑的因素都丢在了里面。此时,即便是没有任何计量基础,我们应该都会形成一个直觉:这个黑箱是模型估计的关键,是因果识别的关键。确实如此。可以说,所有的计量方法都是围绕扰动项展开和发展的,扰动项便是连接计量方法之间的一条线。


二、OLS


我们首先来看最小二乘法(OLS),可以说,OLS是大多数方法的基础和起点。给定上述的线性模型,OLS是怎样处理扰动项,从而估计出核心解释变量的回归系数的呢?原理上,OLS方法的逻辑在于通过寻求参数组合以使得误差项的平方和最小化,即:

3.png


对这一最小化问题进行求解可以得到:

4.png


也就是说,解释变量X的估计值由真实值加上某一个值构成,要想估计得准确,加上的这某个值只能是0。毫无疑问的,只有当解释变量和扰动项不相关,即 5.png 时,我们才能得到可靠的估计。

一言以蔽之,为了准确可靠地进行因果识别,OLS方法是这么来处理扰动项这个黑箱的:直接假设扰动项和解释变量不相关,扰动项中包含的信息和解释变量没半毛钱关系。


我们可以给这个假设一个稍微专业的说法:外生性。当外生性不满足的时候,便会遇到另一个专业的说法:内生性。很显然,但凡内生性存在,因果识别就会受到挑战。这个时候我们可以合理地生出质疑,OLS对扰动项的处理虽然最简单粗暴,但也最不现实,或者说在实践中最不容易满足。因此,除非研究主题和数据特别适合,否则我们需要发展出其他的计量方法来进行因果推断。


三、内生性


在OLS部分,我们虽然知道了解释变量与扰动项相关会导致内生性,但究竟在哪些情况下解释变量会与扰动项相关呢?只有把这个问题想清楚了,才能更好地理解后续的方法。

通常来讲,有三大主要方面会使得不再成立,从而解释变量X的估计值在真实值的基础上有了偏差:


  • 遗漏变量偏误。我们将一些与解释变量有关且对被解释变量具有重要影响的因素遗漏在了扰动项中,从而扰动项中包含了有价值的信息。比如在考察教育对收入的回报时,我们将能力变量遗漏了。
  • 测量误差,我们对核心解释变量的度量存在偏误。
  • 双向因果,即解释变量和被解释变量互为因与果。比如制度环境的改善会促进经济增长,但经济增长也可能会反过来影响制度环境。

知道了内生性的来源后,理解后续方法的思路其实就比较清晰了:既然解释变量与扰动项相关会产生内生性,既然内生性主要来源于上面的三个主要方面,那么后续的方法无非就是在OLS的基础上对这三个方面进行处理而已。


四、FE


继OLS之后,第一个上场的是面板数据固定效应方法(FE)。作为黑箱存在的扰动项,尽管包罗万象,但终究可以分解为三部分:不可观测的与解释变量有关、且不随时间变化的个体因素,不可观测的与解释变量有关、且不随个体变化的时间因素,其他因素。在面板数据中,我们可以称第一部分为个体固定效应,称第二部分为时间固定效应。

首先,因为不可观测,从而无法在模型中得以控制,便出现了遗漏变量问题;其次,因为不可观测的因素与解释变量有关,便出现了遗漏变量偏误,即内生性。原理上,FE方法的逻辑便在于消除扰动项中与解释变量相关的那些固定因素,从而使得解释变量与扰动项不相关这个假设更加符合现实。

FE具体是怎么消除这些固定因素的呢?通常有三种方式:组内去均值处理、一阶差分以及最小二乘虚拟变量法。以组内去均值为例,这也是Stata默认的处理方式:由于个体固定效应不随时间变化,个体固定效应在样本期间的均值便是它自己,在线性模型中将每个变量都减去它的均值,那么扰动项中的个体固定效应便被消除掉了。

总结一下,FE在OLS的基础上强化了对扰动项的处理能力。OLS是不做处理,直接粗暴假设扰动项与解释变量不相关;FE则把扰动项中的一部分与解释变量有关的固定因素给处理掉了,减轻了遗漏变量偏误。针对内生性的三大主要来源可以发现,FE的能力仅局限于遗漏变量偏误,如果内生性是来源于测量误差或逆向因果,那么FE便无能为力了,需要进一步使用其他对扰动项处理能力更强的计量方法。


五、IV


通俗理解,工具变量法(IV)就是,基于工具变量(同时满足相关性和外生性的变量)和某种技术手段(两阶段最小二乘法2sls),以切断内生变量与扰动项之间的相关性为目的,从而得到参数一致性的方法。相比较而言,FE方法只是把扰动项中的一部分固定因素与内生变量之间的相关性切断,IV方法则更为彻底,解决了内生性所有可能的隐患。

从逻辑上来讲,IV方法比OLS和FE都要更好,或者说比其他可能的方法也都要更好,因为它直接解决了内生性问题,不管内生性是由什么原因导致的。但实际上,IV方法的使用频率并没有OLS或FE高,主要是因为IV方法依赖于一个好的工具变量,而好的工具变量并不容易找到,往往可遇不可求,一定程度上制约了研究的开展或使用的频次。

既然如此,有没有能更好解决内生性,同时又避免工具变量寻找的麻烦的方法呢?答案是有的。



六、准自然实验方法(如DID)


近年来,自然、准自然实验的方法大行其道,如双重差分法(DID)。以DID为例,基准的模型形式如下所示: 6.jpg

其中,treat和post分别为区分处理组对照组的虚拟变量以及区分政策改革前后的虚拟变量,其核心在于两者组成的交互项的系数,反映了政策改革的净效应。

这里暂且不谈DID的逻辑、原理和优势,我们仅从内生性来源的角度看一看DID是怎样规避内生性的。


  • 首先,双重差分法等的应用对象往往是外生的政策冲击,这个冲击作为核心解释变量,基本不存在与被解释变量的逆向因果关系;
  • 其次,政策冲击的发生与否是明确的,样本是否受到政策影响是明确的,从而在指标的度量上基本不存在争议和误差;
  • 最后,由于只有与解释变量有关的遗漏变量才是问题,不少微观因素基本与政策冲击无关。进行适当的变量控制后,遗漏变量问题可能不会很严重。

因此,只从上面的分析来看,准自然实验方法提供的一个启示是,在研究选题时,尽量选择一个外生的解释变量,能够较好的规避内生性,得到较为可靠的因果推断。


七、总结


应用微观计量分析的核心在于因果推断,而扰动项便是因果推断的关键。不同计量方法之间的差异,主要体现在对扰动项的假设和处理能力上。首先出现的是OLS,直接假定解释变量与扰动项不相关。这个假设非常强,在实践中很难得到满足,可以说没有对扰动项做任何实质性处理。为了减轻内生性,其他的方法随之而起,接着便是FE。随着面板数据的发展,FE方法终于有了应付扰动项的一技之长,一定程度上减轻了遗漏变量偏误。不过,FE的能力还是不足以斩断扰动项与解释变量的所有关联,内生性仍然是因果推断的拦路虎,这时,处理能力更为强大的IV方法登上舞台。IV方法的好处在于应对扰动项的能力足够强,但缺点也很明显,好的IV不好找。于是,准自然实验的方法如DID逐渐流行,通过引入外生政策冲击和巧妙的模型设置,能够有效地完成因果识别。











附件列表
1.png

原图尺寸 28.99 KB

1.png

1.png

原图尺寸 28.99 KB

1.png

二维码

扫码加我 拉你入群

请注明:姓名-公司-职位

以便审核进群资格,未注明则拒绝

全部回复
2019-11-21 17:08:35
解释的非常清晰
二维码

扫码加我 拉你入群

请注明:姓名-公司-职位

以便审核进群资格,未注明则拒绝

2019-11-21 19:08:19
二维码

扫码加我 拉你入群

请注明:姓名-公司-职位

以便审核进群资格,未注明则拒绝

2019-11-21 20:01:32
很有道理
二维码

扫码加我 拉你入群

请注明:姓名-公司-职位

以便审核进群资格,未注明则拒绝

2019-11-21 21:31:28
二维码

扫码加我 拉你入群

请注明:姓名-公司-职位

以便审核进群资格,未注明则拒绝

2019-11-22 05:53:15
非常感谢,好好学学
二维码

扫码加我 拉你入群

请注明:姓名-公司-职位

以便审核进群资格,未注明则拒绝

点击查看更多内容…
栏目导航
热门文章
推荐文章

说点什么

分享

扫码加好友,拉您进群
各岗位、行业、专业交流群