经管之家App
让优质教育人人可得
立即打开
全部版块
我的主页
›
论坛
›
提问 悬赏 求职 新闻 读书 功能一区
›
学道会
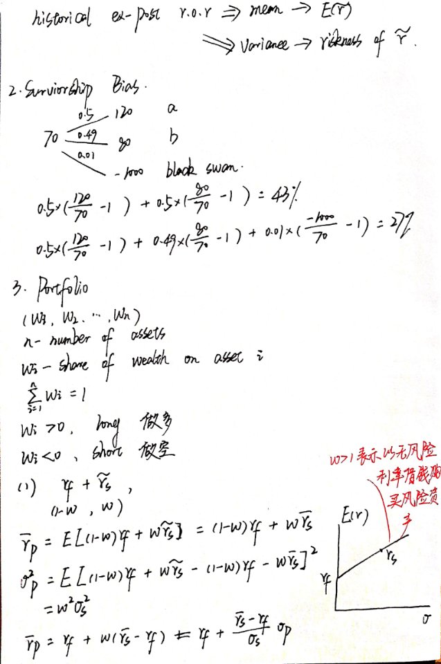
【学习笔记】Chapter 5:Portfolio
楼主
守候烟雨
532
1
收藏
2019-11-28
Chapter 5:Portfolio
附件列表
tmp_7c02ab547ea101d22ac0dbf681e4eab5e6e6b9ab04292361.jpg
原图尺寸 26.41 KB
tmp_5396a6b2e15d1df9f6f663a825c4df43cccad7d66d77a353.jpg
原图尺寸 78.41 KB
扫码加我 拉你入群
请注明:姓名-公司-职位
以便审核进群资格,未注明则拒绝
全部回复
沙发
512661101
2019-11-28 02:08:24
赞
扫码加我 拉你入群
请注明:姓名-公司-职位
以便审核进群资格,未注明则拒绝
栏目导航
学道会
休闲灌水
经管高考
金融学(理论版)
商学院
人力资源管理
热门文章
我该如何记住你?智能体记忆系统的演化之路
202601-中国智能驾驶行业趋势白皮书
到2032年全球RJ11连接器市场规模将接近12.4 ...
油罐车加油系统,全球前10强生产商排名及市 ...
2026年亚马逊市场趋势报告
无上高明的“无为”“无住”哲学在传统中国
现代数学基础 现代极限理论及其在随机结构中 ...
高教现代数学基础15 有限群表示论 曹锡华,时 ...
【25更新,详细,热点指标!】2002-2025省级ZF ...
【热点变量,详细,24更新!】2003-2025地级市 ...
推荐文章
2026JG学术冬训营:从Stata初高到Python机器 ...
【必看】【本版版规,欢迎发悬赏贴求助】
26年寒假天津站|Gemini论文写作&数据分析 ...
关于如何利用文献的若干建议
关于学术研究和论文发表的一些建议
关于科研中如何学习基础知识的一些建议 (一 ...
一个自编的经济学建模小案例 --写给授课本科 ...
AI智能体赋能教学改革: 全国AI教育教学应用 ...
2025中国AIoT产业全景图谱报告-406页
关于文献求助的一些建议
说点什么
分享
微信
QQ空间
QQ
微博
扫码加好友,拉您进群
各岗位、行业、专业交流群