全部版块 我的主页
论坛 提问 悬赏 求职 新闻 读书 功能一区 经管文库(原现金交易版)
754 0
2019-12-05

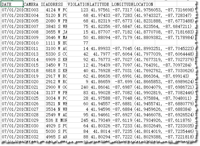
美国芝加哥每天汽车超速数据:2014-2016


2014-2016,芝加哥每天汽车违反交通法规超速数据,这些数据是交通道路上的摄像头记录。

Speed Camera Violations in Chicago: 2014-2016 Daily volume of speed limit violationsrecorded by cameras on Chicago streets.

1.png


Speed Camera Violations in Chicago: 2014-2016 Daily volume of speed limit viola.rar
大小:(437.85 KB)

只需: RMB 28元  马上下载

本附件包括:

  • Speed Camera Violations in Chicago: 2014-2016 Daily volume of speed limit violations recorded by cameras on Chicago streets..csv

二维码

扫码加我 拉你入群

请注明:姓名-公司-职位

以便审核进群资格,未注明则拒绝

栏目导航
热门文章
推荐文章

说点什么

分享

扫码加好友,拉您进群
各岗位、行业、专业交流群