经管之家App
让优质教育人人可得
立即打开
全部版块
我的主页
›
论坛
›
提问 悬赏 求职 新闻 读书 功能一区
›
学道会
【学习笔记】重读徐高:金融经济学二十五讲 第 18 讲 连续时间金融与 Black- ...
楼主
jessie68us
612
1
收藏
2019-12-26
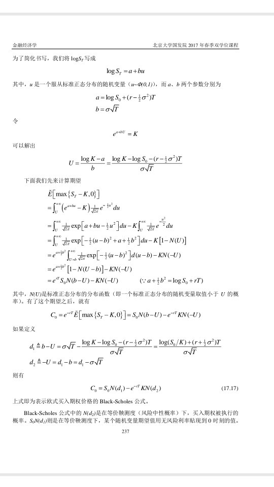
重读徐高:金融经济学二十五讲
第 18 讲 连续时间金融与 Black-Scholes 公式-2
扫码加我 拉你入群
请注明:姓名-公司-职位
以便审核进群资格,未注明则拒绝
全部回复
沙发
512661101
2019-12-26 22:48:18
赞
扫码加我 拉你入群
请注明:姓名-公司-职位
以便审核进群资格,未注明则拒绝
相关推荐
连续时间金融
[原创]求默顿连续时间金融一书
小弟跪求 约翰逊《连续时间金融》。望大哥大姐给我发一份。
有没有关于讲解连续时间金融的视频呢?
【学习笔记】重读徐高:金融经济学二十五讲 第 18 讲 连续时间金融与 Black- ...
【学习笔记】连续时间金融
【学习笔记】连续时间金融
【学习笔记】连续时间金融~
【学习笔记】连续时间金融
连续时间金融市场模型的解析解
栏目导航
学道会
学术道德监督
休闲灌水
经管文库(原现金交易版)
计量经济学与统计软件
世界经济与国际贸易
热门文章
CDA数据分析师:以数据思维赋能企业管理,驱 ...
高观点下的初等数学概念+沈钢编著,2001
初等数学论丛 第3辑
黑龙江统计年鉴2025(Excel版)
【24重磅,顶刊热点!】2001-2024上市公司大数 ...
当AI遇见ML:高校教师如何借助AI与机器学习 ...
CDA 认证考试大纲 2025 重磅更新:一二级考 ...
CDA数据分析师实战:指标体系搭建的全流程方 ...
三大报表钩稽关系
管理者微观经济学 Microeconomics for Mana ...
推荐文章
12月武汉站|Deepseek辅助论文写作与数据分 ...
2026JG学术冬训营:从Stata初高到Python机器 ...
关于如何利用文献的若干建议
关于学术研究和论文发表的一些建议
关于科研中如何学习基础知识的一些建议 (一 ...
一个自编的经济学建模小案例 --写给授课本科 ...
AI智能体赋能教学改革: 全国AI教育教学应用 ...
2025中国AIoT产业全景图谱报告-406页
关于文献求助的一些建议
几种免费下载文献的方法----我的文献应助经
说点什么
分享
微信
QQ空间
QQ
微博
扫码加好友,拉您进群
各岗位、行业、专业交流群