全部版块 我的主页
论坛 计量经济学与统计论坛 五区 计量经济学与统计软件
4788 3
2019-12-26
悬赏 10 个论坛币 未解决
微信图片_20191226183627.png
第一列是计算出模型是保存的预测概率,第二列是用计算出的模型利用评分向导做预测时给的结果,第三列是评分向导给出的概率,这两个数值跟我用模型计算出的P值都不一样
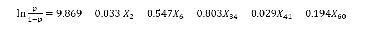
                               微信图片_20191226184013.png
这个是P的计算公式,我把模型的系数和X的值带进去计算了几个案例都得出了

0.92446

0.706477

0.909491

0.927626

0.981117

0.803158

0.92446

0.706477

0.909491

0.927626

0.981117

0.803158

没有小于0.5的
微信图片_20191226184226.png
这是回归出来的模型,各项系数都显著

好绝望啊,求求大佬救救孩子吧
二维码

扫码加我 拉你入群

请注明:姓名-公司-职位

以便审核进群资格,未注明则拒绝

全部回复
2019-12-26 18:55:29
不知道到底是哪里的问题,现在要对案例进行预测,不知道怎么办了,按道理这些数值都应该一样的呀
二维码

扫码加我 拉你入群

请注明:姓名-公司-职位

以便审核进群资格,未注明则拒绝

2019-12-26 19:02:15
突然想到,回归模型给出的是发生该事件的概率P
评分向导中给出的是是个事件划分为发生,和不发生的概率。所以事件发生的概率是一致的,不发生的例子是二者概率相加为1。
那这个我就理解了。
最最重要的问题是,为什么SPSS给出的预测概率和我用模型手工计算出来的概率不一样。按照P的计算公式算出的数据明显不对啊
二维码

扫码加我 拉你入群

请注明:姓名-公司-职位

以便审核进群资格,未注明则拒绝

2021-9-23 10:05:40
小派派 发表于 2019-12-26 19:02
突然想到,回归模型给出的是发生该事件的概率P
评分向导中给出的是是个事件划分为发生,和不发生的概率。所 ...
请问找到问题的原因在哪了吗?
二维码

扫码加我 拉你入群

请注明:姓名-公司-职位

以便审核进群资格,未注明则拒绝

栏目导航
热门文章
推荐文章

说点什么

分享

扫码加好友,拉您进群
各岗位、行业、专业交流群