全部版块 我的主页
论坛 计量经济学与统计论坛 五区 计量经济学与统计软件
1196 1
2019-12-28

老师您好,我在使用STATA软件时,遇到几个问题,想向您请教一下,谢谢


1.动态面板系统GMM回归时,用xtdpdsys命令时,有加入滞后几项作为工具变量的选项,也就是maxldep( ),写不同的滞后阶数就会有不同的结果,而且工具变量检验都会通过,应该怎样确定哪一阶作为工具变量呢?

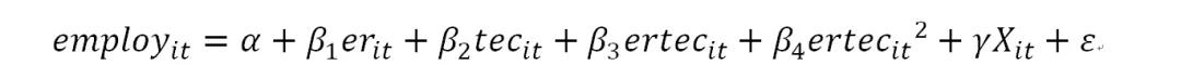
2.在一个方程中想研究交互作用,加入交互项不显著,但是加入交互项的平方项之后,交互项以及交互的平方项都很显著,比如环境规制通过影响科技创新从而影响就业,ertec为交互项,(ertec)^2为交互项的平方,方程设置为

微信图片_20191228095905.jpg

方程设置是否存在错误呢?如果没有错误,交互的平方项应该怎么解释呢?


二维码

扫码加我 拉你入群

请注明:姓名-公司-职位

以便审核进群资格,未注明则拒绝

全部回复
2019-12-28 10:00:50

专家回复:


1.工具变量的外生性是无法检验的,这里讲的“检验通过”具体指的是通过了什么?使用滞后项作为工具变量依赖于很强的假设,这种做法本身就不是理想的做法。

2.无法仅基于变量是否显著判断方程设置是否存在错误。需要考虑计量方程背后的理论基础、研究情境、变量的统计特征等等。


二维码

扫码加我 拉你入群

请注明:姓名-公司-职位

以便审核进群资格,未注明则拒绝

栏目导航
热门文章
推荐文章

说点什么

分享

扫码加好友,拉您进群
各岗位、行业、专业交流群