经管之家App
让优质教育人人可得
立即打开
全部版块
我的主页
›
论坛
›
计量经济学与统计论坛 五区
›
计量经济学与统计软件
›
EViews专版
【紧急求助】做了一个一元线性模型,R方只有0.1,F和T都通过,怎么回事?
楼主
jinnpig
4102
9
收藏
2010-04-05
如题
紧急!谢谢了啊!!
扫码加我 拉你入群
请注明:姓名-公司-职位
以便审核进群资格,未注明则拒绝
全部回复
沙发
小朝
2010-4-5 22:25:45
你可以看拟合方程残差序列的相关图。
如果不是白噪声序列,说明方程是伪回归。
扫码加我 拉你入群
请注明:姓名-公司-职位
以便审核进群资格,未注明则拒绝
藤椅
jinnpig
2010-4-5 23:48:31
2#
小朝
谢谢!!!
扫码加我 拉你入群
请注明:姓名-公司-职位
以便审核进群资格,未注明则拒绝
板凳
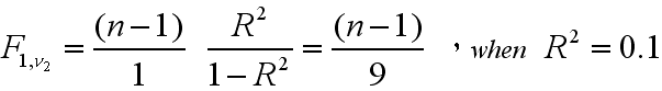
gemini69
2010-4-6 01:00:20
jinnpig 发表于 2010-4-5 22:09
如题
紧急!谢谢了啊!!
先别扯到残差是否平稳;
只有一个自变量,可只讨论 F statistic;
将上式与 F table 比较,一目了然。
扫码加我 拉你入群
请注明:姓名-公司-职位
以便审核进群资格,未注明则拒绝
报纸
zhailj007
2010-4-8 23:09:03
遗漏变量,5116666415455
扫码加我 拉你入群
请注明:姓名-公司-职位
以便审核进群资格,未注明则拒绝
地板
海纳百川250
2010-4-9 07:33:07
哈哈,什么变量,有点意思,不多见
扫码加我 拉你入群
请注明:姓名-公司-职位
以便审核进群资格,未注明则拒绝
点击查看更多内容…
7楼
zb123400
2010-4-10 12:49:50
拟合优度值太小说明你选的解释变量错误,漏掉了重要的解释变量
扫码加我 拉你入群
请注明:姓名-公司-职位
以便审核进群资格,未注明则拒绝
8楼
cz0021
2010-4-10 14:03:26
是否有解释变量的遗漏,有重要的解释变量未被选入模型?
扫码加我 拉你入群
请注明:姓名-公司-职位
以便审核进群资格,未注明则拒绝
9楼
nlm0402
2010-4-10 23:20:59
是否是非线性
扫码加我 拉你入群
请注明:姓名-公司-职位
以便审核进群资格,未注明则拒绝
10楼
渭城朝雨浥轻尘
2010-4-10 23:41:06
忽略了重要的解释变量
扫码加我 拉你入群
请注明:姓名-公司-职位
以便审核进群资格,未注明则拒绝
相关推荐
紧急求助
紧急求助!路过的大侠们一定要帮帮忙啊!
紧急求助
紧急求助
图论中的图用什么软件画最方便
紧急求助 编号重复问题
紧急求助!!!!编码与会话编码不匹配 sas
紧急求助!LP法计算TFP出错的原因
[紧急求助]请问怎么提取读入文件的某一个元素啊,求大神帮忙
紧急求助!HLM层一方差计算,大谢!
栏目导航
EViews专版
微观经济学
金融实务版
CFA、CVA、FRM等金融考证论坛
一带一路
跨学科讨论区
热门文章
当AI遇见ML:高校教师如何借助AI与机器学习 ...
CDA 认证考试大纲 2025 重磅更新:一二级考 ...
乡村振兴相关数据
城管进社区如何破解物业“有责无权”困局?
2026年宏观经济十大趋势展望
2026年宏观经济十大趋势展望
管理者微观经济学 Microeconomics for Mana ...
2025手持智能影像设备需求洞察
【24重磅,优化版本!】2003-2024上市公司股票 ...
【顶刊DID,24重磅!】2001-2024上市公司营改 ...
推荐文章
12月武汉站|Deepseek辅助论文写作与数据分 ...
2026JG学术冬训营:从Stata初高到Python机器 ...
关于如何利用文献的若干建议
关于学术研究和论文发表的一些建议
关于科研中如何学习基础知识的一些建议 (一 ...
一个自编的经济学建模小案例 --写给授课本科 ...
AI智能体赋能教学改革: 全国AI教育教学应用 ...
2025中国AIoT产业全景图谱报告-406页
关于文献求助的一些建议
几种免费下载文献的方法----我的文献应助经
说点什么
分享
微信
QQ空间
QQ
微博
扫码加好友,拉您进群
各岗位、行业、专业交流群