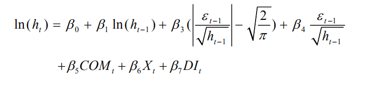
在Stata中使用EGARCH模型进行估计时,主要使用的命令是`arch`。但是需要注意的是,在Stata 14及以后版本中,`arch`命令已经被`garch`所替代,并且提供了更多的选项和灵活性。
对于您给出的公式(假设为EGARCH的对数条件方差形式),以及您提供的Stata命令:
```
arch lnht lnht_1 zt zt_1, earch(1) egarch(1) nolog het(COM X DI)
```
这里`lnht`代表的是当前时刻的对数条件方差,`lnht_1`是其滞后项(即上一时期的值),而`zt`和`zt_1`则是解释变量及其滞后项。`het()`内括起来的部分是用来添加外生变量影响方差的过程。
然而,在实际使用中,Stata的命令格式稍有不同。基于您提供的信息,EGARCH模型的一般命令结构可能更接近以下形式:
```
garch lnht, arch(1) garch(1) dist(normal) het(COM X DI)
```
但是,这里的问题是`lnht_1`, `zt`, 和 `zt_1`如何被包含进方程中并不明显。在EGARCH模型中,通常我们关心的是对数条件方差的动态调整过程(通过滞后项和外生变量),以及杠杆效应的影响。
对于EGARCH的具体命令格式,在Stata中应为:
```
garch lnht zt, arch(1) garch(1) mean(ztlag) het(COM X DI)
```
其中`ztlag`代表的是解释变量`zt`的滞后项。但是,这里的问题在于如何确切地将您提及的所有要素都正确包含进去。
更具体的命令可能需要依据您的数据结构和具体模型设定来调整。例如,在EGARCH模型中处理对数方差滞后的标准方式是直接包括在garch(1)项内,并通过mean()选项加入解释变量及其滞后项,如下所示:
```
garch lnht, arch(1) garch(1) mean(lnht_1 zt zt_1) het(COM X DI)
```
请注意,您可能需要根据您的数据和模型的具体需求调整命令中的具体参数。务必检查Stata的`help`文档或使用`help garch`来获取更详细的语法信息。
此文本由CAIE学术大模型生成,添加下方二维码,优先体验功能试用