经管之家App
让优质教育人人可得
立即打开
全部版块
我的主页
›
论坛
›
经济学论坛 三区
›
微观经济学
›
经济金融数学专区
mathematica求解不等式
楼主
郑丽芳
1439
1
收藏
2020-02-05
悬赏
6
个论坛币
未解决
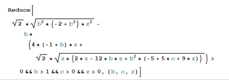
求助!!!我用mathematica软件想算出这个不等式。。。为啥算不出来,总是显示正在运行呢。。。我猜应该是我的写法有问题,但又不清楚错在那里,朋友们帮帮忙嘛
扫码加我 拉你入群
请注明:姓名-公司-职位
以便审核进群资格,未注明则拒绝
全部回复
沙发
风湿马钱526
2020-3-1 16:39:15
软件不是万能的,你这个不等式应该解不出来。
扫码加我 拉你入群
请注明:姓名-公司-职位
以便审核进群资格,未注明则拒绝
栏目导航
经济金融数学专区
求助成功区
经管高考
经管文库(原现金交易版)
行为经济学与实验经济学
悬赏大厅
热门文章
《信用价值论》社会再生产方程式解读 与在宏 ...
参数估计:CDA数据分析师的核心推断工具,用 ...
通用指标与场景指标:CDA数据分析师的核心分 ...
2024年合集 ESG评级数据大全(彭博 华证 Wi ...
技术趋势2026
人工智能赋能应用实践指南
CAS EXAM6 2023版TIA教材
中国企业高质量发展展望穿越周期与聚力创新
中国企业高质量发展展望穿越周期与聚力创新
人工智能赋能应用实践指南
推荐文章
2026JG学术冬训营:从Stata初高到Python机器 ...
【必看】【本版版规,欢迎发悬赏贴求助】
【新课】26年3月|Gemini辅助论文写作与数据 ...
关于如何利用文献的若干建议
关于学术研究和论文发表的一些建议
关于科研中如何学习基础知识的一些建议 (一 ...
一个自编的经济学建模小案例 --写给授课本科 ...
AI智能体赋能教学改革: 全国AI教育教学应用 ...
2025中国AIoT产业全景图谱报告-406页
关于文献求助的一些建议
说点什么
分享
微信
QQ空间
QQ
微博
扫码加好友,拉您进群
各岗位、行业、专业交流群