全部版块 我的主页
论坛 提问 悬赏 求职 新闻 读书 功能一区 学道会
445 1
2020-02-18
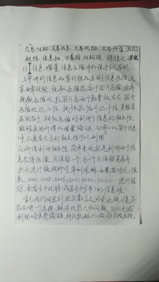
吴军信息论40讲又完成一部分了,回顾总结一下。
19-27^_^ tmp_3d9fa54090dbba01646a2e30054861fdd1f203a3b5707b3f.jpg tmp_119d498bb46670e8ac00fdc11234d5ac67c67b2bd1e3a419.jpg tmp_8740efbe7afdb507977add3f77810a60c25e3608f44a1c4c.jpg tmp_41af1066a75d90faa7d8034f73217b0998990486a115e5de.jpg tmp_f50e510a5fcee991b85b76da790abf09718b9185ab033edf.jpg tmp_337821b3a2a040c8fa345091382c7d0008e932ad6bc7cac9.jpg tmp_66024cf126b41ee07d96fd054ba26834626be0ef5329f6b0.jpg tmp_1affb29e4262c5466497eaf3cee21c83582f353b05e774e1.jpg tmp_6ed1554ff72302cc71a5e8a4324cae0bdbc514a99381a516.jpg tmp_378a8b552a0a4d11af5e46eaeab1eeb709d252d75839dd5e.jpg tmp_64a8de52659e9b064f043ddce2e296f7f7f8747bd2364da7.jpg tmp_1903ea23b4d1ffedb75afdbd89eb3a368030307d23cc4ace.jpg tmp_49a92e163f0adaf34c1d428cddfad3ae932bb67886be999c.jpg tmp_ee67a87f1e020ef8ba733707700ae848fa4e849ffaf7a394.jpg tmp_8bc46cadf278bf49726363879955fe7e15d32ef01a738a45.jpg tmp_9e27f908a9186950ac00e29ddb6a213df17d35a0af5c1e7a.jpg tmp_8d345563dc3d46e278cf3baa1f827f40af4ff968c9b5eddd.jpg tmp_ec0754fd8e9f64b0ac6a7953446d7c4a33379036df209058.jpg
二维码

扫码加我 拉你入群

请注明:姓名-公司-职位

以便审核进群资格,未注明则拒绝

全部回复
2020-2-18 12:29:56
太精彩了,真正的学习人!
二维码

扫码加我 拉你入群

请注明:姓名-公司-职位

以便审核进群资格,未注明则拒绝

相关推荐
栏目导航
热门文章
推荐文章

说点什么

分享

扫码加好友,拉您进群
各岗位、行业、专业交流群