经管之家App
让优质教育人人可得
立即打开
全部版块
我的主页
›
论坛
›
计量经济学与统计论坛 五区
›
计量经济学与统计软件
›
Stata专版
stata生成滞后变量、R平方序列和解释变量参数序列
楼主
linxiyu_sufe
1314
0
收藏
2020-02-19
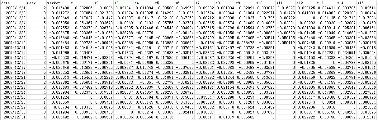
stata小白约等于不会,快交毕业论文了,求求各位大神帮忙,想要按照以下方法:1.生成市场收益率market的滞后变量
2.像这样用滞后4期的market和每只股票收益率回归导出R平方序列和解释变量参数序列,从而生成最终的D1i变量和D2i变量用作之后论文的被解释变量
3.原始数据如下图所示,是2009-2019的交易日数据,最后的D1i变量和D2i变量是月度数据就可以了
数据源:
扫码加我 拉你入群
请注明:姓名-公司-职位
以便审核进群资格,未注明则拒绝
相关推荐
On the Robustness of Unit Root Tests in the Presence of Double Unit Roots
论坛开张并诚招版主
庆祝论坛开张并诚招版主
有志于报考人大经济学院的同学朋友们看过来
庆祝论坛开张并诚招各分论坛版主
On the Robustness of Unit Root Tests in the Presence of Double Unit Roots
栏目导航
Stata专版
灌水吧
经管文库(原现金交易版)
金融实务版
劳动经济学
学术资源/课程/会议/讲座
热门文章
CDA数据分析师实战:因子分析的业务应用与落 ...
图书:历史照进现实
《蹒跚前行:1870—2010年全球经济史》【美 ...
具身智能复合移动机器人产业发展蓝皮书(20 ...
奇瑞,打出新王牌!
【资料共享】Python入门资料与产品经理学习 ...
上市公司透明度综合指标TRANS计算Stata代码 ...
告别熬夜头秃!3天论文特训,实现从“无从下 ...
助力高阶认证备考!CDA 三级新上线第一套官 ...
CDA数据分析脱产就业班于2025年12月08日开班 ...
推荐文章
【必看】【本版版规,欢迎发悬赏贴求助】
26年寒假天津站|Gemini论文写作&数据分析 ...
2026JG学术冬训营:从Stata初高到Python机器 ...
关于如何利用文献的若干建议
关于学术研究和论文发表的一些建议
关于科研中如何学习基础知识的一些建议 (一 ...
一个自编的经济学建模小案例 --写给授课本科 ...
AI智能体赋能教学改革: 全国AI教育教学应用 ...
2025中国AIoT产业全景图谱报告-406页
关于文献求助的一些建议
说点什么
分享
微信
QQ空间
QQ
微博
扫码加好友,拉您进群
各岗位、行业、专业交流群