经管之家App
让优质教育人人可得
立即打开
全部版块
我的主页
›
论坛
›
计量经济学与统计论坛 五区
›
计量经济学与统计软件
›
EViews专版
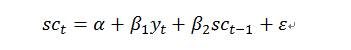
Eviews中怎么将变量提前一期,如下图所示
楼主
刘艳丽007
1826
1
收藏
2020-02-23
扫码加我 拉你入群
请注明:姓名-公司-职位
以便审核进群资格,未注明则拒绝
全部回复
沙发
locycai
2020-2-25 10:32:31
在回归方程框里输入 sc c y sc(-1) ,然后回归
扫码加我 拉你入群
请注明:姓名-公司-职位
以便审核进群资格,未注明则拒绝
栏目导航
EViews专版
商学院
计量经济学与统计软件
一带一路
金融实务版
经管文库(原现金交易版)
热门文章
当AI遇见ML:高校教师如何借助AI与机器学习 ...
CDA 认证考试大纲 2025 重磅更新:一二级考 ...
CDA数据分析师实战:指标体系搭建的全流程方 ...
Essentials of Statistics for Research by ...
2025年AI智能体的兴起:未来展望报告(英)
2025 中国汽车可持续发展蓝皮书
合规与体验双升级!中高端LED牙齿美白灯的增 ...
祝贺奇瑞!祝贺尹同跃!
“奇瑞品质”再获权威认证
电力设备行业报告:算力革命与能源革命共振 ...
推荐文章
12月武汉站|Deepseek辅助论文写作与数据分 ...
2026JG学术冬训营:从Stata初高到Python机器 ...
关于如何利用文献的若干建议
关于学术研究和论文发表的一些建议
关于科研中如何学习基础知识的一些建议 (一 ...
一个自编的经济学建模小案例 --写给授课本科 ...
AI智能体赋能教学改革: 全国AI教育教学应用 ...
2025中国AIoT产业全景图谱报告-406页
关于文献求助的一些建议
几种免费下载文献的方法----我的文献应助经
说点什么
分享
微信
QQ空间
QQ
微博
扫码加好友,拉您进群
各岗位、行业、专业交流群