经管之家App
让优质教育人人可得
立即打开
全部版块
我的主页
›
论坛
›
提问 悬赏 求职 新闻 读书 功能一区
›
学道会
【学习笔记】我是经典抄写人,我把经典《六国论》写给你看—— 今天抄写的经 ...
楼主
李沐寒521521
9765
7
收藏
2020-02-23
我是经典抄写人,我把经典《六国论》写给你看——
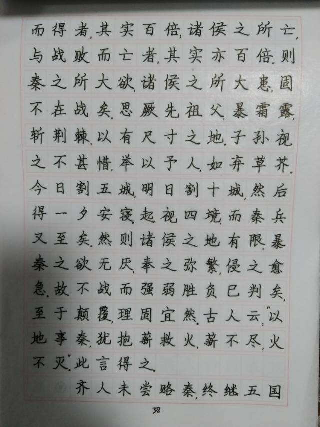
今天抄写的经典是字帖版本的《六国论》,这也是篇政论文或者议论文,论述的同样是六国和秦朝的兴亡成败,可以和前面杜牧的《阿房宫赋》,还有贾谊的《过秦论》一起比照着学习。《阿房宫赋》和《过秦论》,前一个论述的是爱其人,后一个论述的仁义,这两篇颇有共同之处;今天这篇《六国论》论述的六国灭亡是因为贿赂秦国,虽然论据很充分,论述也很有气势,但这个论据有点站不住脚了,相比较前面两篇的论据爱其人和仁义,这个贿赂秦国仅仅是六国灭亡的一方面,是次要方面,而不是主要方面。可以说,对于六国来说,正因为不爱其人和不施仁义才让六国国势日益衰微,然后不得不贿赂强大的秦国,最后一步步导致的灭亡了——
附件列表
tmp_420108ce7955be1554856aff64d271f456abcbdfcdfdeacd.jpg
原图尺寸 57.82 KB
扫码加我 拉你入群
请注明:姓名-公司-职位
以便审核进群资格,未注明则拒绝
全部回复
沙发
小丁丁tu
2020-2-24 00:07:14
太精彩了,每天坚持下来真的很难!在我看来临摹字帖远远比普通书写更累,当然前提是认真临摹……我每天临摹一页就是极限了!向你学习^_^
扫码加我 拉你入群
请注明:姓名-公司-职位
以便审核进群资格,未注明则拒绝
藤椅
jessie68us
2020-2-24 00:31:49
很棒!
扫码加我 拉你入群
请注明:姓名-公司-职位
以便审核进群资格,未注明则拒绝
板凳
李沐寒521521
2020-2-24 07:13:20
哈哈,我这两天只临摹字帖,其他手抄任务都暂时放下了——确实很累人,我也想看看我还能坚持多久吧——
扫码加我 拉你入群
请注明:姓名-公司-职位
以便审核进群资格,未注明则拒绝
报纸
alexwx@126.com
2020-2-24 13:19:16
漂亮!
扫码加我 拉你入群
请注明:姓名-公司-职位
以便审核进群资格,未注明则拒绝
地板
三重虫
2020-2-24 14:29:04
扫码加我 拉你入群
请注明:姓名-公司-职位
以便审核进群资格,未注明则拒绝
点击查看更多内容…
7楼
2565_1571887212
2020-2-24 20:12:47
棒棒哒
扫码加我 拉你入群
请注明:姓名-公司-职位
以便审核进群资格,未注明则拒绝
8楼
5273_1578307493
2020-2-24 22:14:41
赞
扫码加我 拉你入群
请注明:姓名-公司-职位
以便审核进群资格,未注明则拒绝
相关推荐
【学习笔记】英语议论文的语言特点(4-6-8级考试)
【学习笔记】今天分享一张疫情对各个行业一季度的影响图,对中观的角度来看很 ...
【学习笔记】缠论14课复习
【学习笔记】我是经典抄写人,我把经典《阿房宫赋》写给你看—— 今天抄写的 ...
王正栋_2020-03-26 10:13:11_【学习笔记】
【学习笔记】今日研报学习
6165_1582524636_2020-06-15 13:43:08_【学习笔记】
栏目导航
学道会
R语言论坛
行业分析报告
休闲灌水
金融学(理论版)
经管高考
热门文章
【重磅权威】2000-2024年上市公司人力资本流 ...
求助英文文献一篇
精准匹配,菁英相伴--经管之家单身俱乐部, ...
我该如何记住你?智能体记忆系统的演化之路
CDA数据分析脱产就业班于2026年3月7日开班! ...
表格结构数据的核心特征及具象实例解析
伍德里奇计量经济学导论第六版教材PDF
2026年Agent领域十大趋势判断
湖南统计年鉴2025(Excel版)
中外历史年代对照表
推荐文章
2026JG学术冬训营:从Stata初高到Python机器 ...
【必看】【本版版规,欢迎发悬赏贴求助】
26年寒假天津站|Gemini论文写作&数据分析 ...
关于如何利用文献的若干建议
关于学术研究和论文发表的一些建议
关于科研中如何学习基础知识的一些建议 (一 ...
一个自编的经济学建模小案例 --写给授课本科 ...
AI智能体赋能教学改革: 全国AI教育教学应用 ...
2025中国AIoT产业全景图谱报告-406页
关于文献求助的一些建议
说点什么
分享
微信
QQ空间
QQ
微博
扫码加好友,拉您进群
各岗位、行业、专业交流群