经管之家App
让优质教育人人可得
立即打开
全部版块
我的主页
›
论坛
›
提问 悬赏 求职 新闻 读书 功能一区
›
学道会
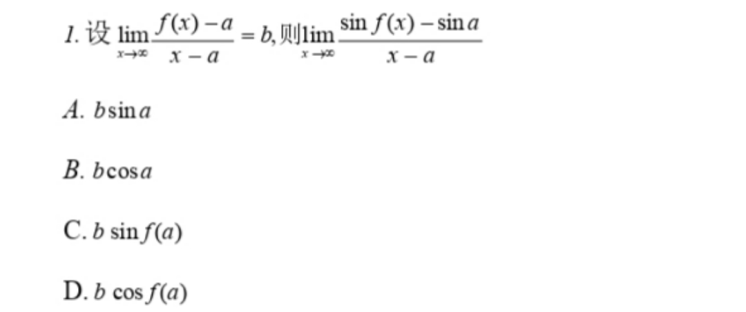
【学习笔记】冲啊
楼主
阿sou
281
1
收藏
2020-02-24
冲啊
扫码加我 拉你入群
请注明:姓名-公司-职位
以便审核进群资格,未注明则拒绝
全部回复
沙发
512661101
2020-2-24 14:49:27
赞
扫码加我 拉你入群
请注明:姓名-公司-职位
以便审核进群资格,未注明则拒绝
相关推荐
【学习笔记】签到
【学习笔记】人们最害怕的是无常变化,要学习适应环境的变化和变化中另谋创新 ...
【学习笔记】20200528英译中翻译打卡
栏目导航
学道会
行业分析报告
经管文库(原现金交易版)
CFA、CVA、FRM等金融考证论坛
经管在职研
金融学(理论版)
热门文章
计算方法丛书006 无约束最优化计算方法 邓乃 ...
《信用价值论》社会再生产均衡方程式 在宏观 ...
计算方法丛书 样条函数与计算几何 作者: 孙 ...
人工智能赋能应用实践指南
人工智能赋能应用实践指南
中国企业高质量发展展望穿越周期与聚力创新
中国企业高质量发展展望穿越周期与聚力创新
多模态大语言模型技术发展报告
《那年2003:我双手插兜,搞钱不知什么叫对 ...
大势与抉择:关键趋势20讲(马江博)
推荐文章
2026JG学术冬训营:从Stata初高到Python机器 ...
【必看】【本版版规,欢迎发悬赏贴求助】
【新课】26年3月|Gemini辅助论文写作与数据 ...
关于如何利用文献的若干建议
关于学术研究和论文发表的一些建议
关于科研中如何学习基础知识的一些建议 (一 ...
一个自编的经济学建模小案例 --写给授课本科 ...
AI智能体赋能教学改革: 全国AI教育教学应用 ...
2025中国AIoT产业全景图谱报告-406页
关于文献求助的一些建议
说点什么
分享
微信
QQ空间
QQ
微博
扫码加好友,拉您进群
各岗位、行业、专业交流群