经管之家App
让优质教育人人可得
立即打开
全部版块
我的主页
›
论坛
›
站务区 十一区
›
新手入门区
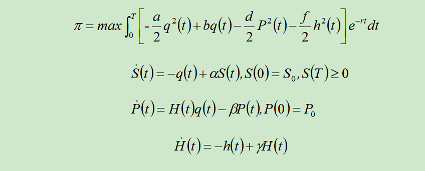
100元求助,以下方程组怎么解?
楼主
影歌神殿
715
0
收藏
2020-02-24
根据最优规划理论,建立了如下方程组,求解q、H、S的表达式。
扫码加我 拉你入群
请注明:姓名-公司-职位
以便审核进群资格,未注明则拒绝
栏目导航
新手入门区
SPSS论坛
悬赏大厅
经管文库(原现金交易版)
EViews专版
求助成功区
热门文章
CDA Level III 认证考试大纲重磅更新并启用 ...
AI4S回归白盒符号主义,清华等联合发布SR-L ...
荷兰国际集团: 2026年的大宗商品行情展望— ...
高盛2026展望:复杂性中寻找催化剂(英文原 ...
NewsWeek 2025年终特刊——图说美国250年
【福利帖】元旦快乐
财报就像一本兵法书
展望2026:学术智能体即将崛起?
CDA数据分析师:以数据思维赋能企业管理,驱 ...
CDA全国考点信息一览(更新于2025年12月10日 ...
推荐文章
12月武汉站|Deepseek辅助论文写作与数据分 ...
2026JG学术冬训营:从Stata初高到Python机器 ...
关于如何利用文献的若干建议
关于学术研究和论文发表的一些建议
关于科研中如何学习基础知识的一些建议 (一 ...
一个自编的经济学建模小案例 --写给授课本科 ...
AI智能体赋能教学改革: 全国AI教育教学应用 ...
2025中国AIoT产业全景图谱报告-406页
关于文献求助的一些建议
几种免费下载文献的方法----我的文献应助经
说点什么
分享
微信
QQ空间
QQ
微博
扫码加好友,拉您进群
各岗位、行业、专业交流群