经管之家App
让优质教育人人可得
立即打开
全部版块
我的主页
›
论坛
›
提问 悬赏 求职 新闻 读书 功能一区
›
学道会
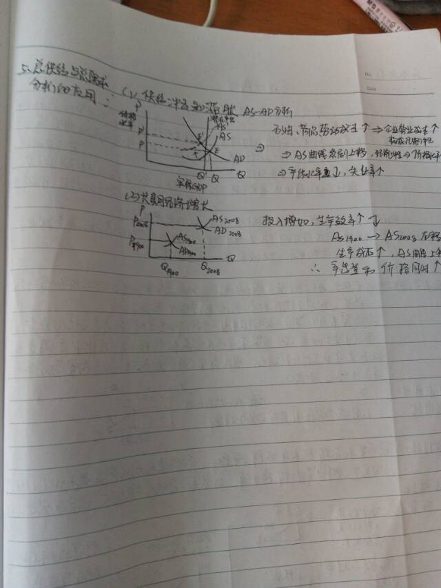
【学习笔记】慕课笔记
楼主
离离原上草。
630
2
收藏
2020-02-25
慕课笔记
扫码加我 拉你入群
请注明:姓名-公司-职位
以便审核进群资格,未注明则拒绝
全部回复
沙发
8889_1581064443
2020-2-25 16:24:23
好的
扫码加我 拉你入群
请注明:姓名-公司-职位
以便审核进群资格,未注明则拒绝
藤椅
jessie68us
2020-2-26 11:59:17
赞
扫码加我 拉你入群
请注明:姓名-公司-职位
以便审核进群资格,未注明则拒绝
相关推荐
5422_1566469598_2019-10-09 18:27:39_【学习笔记】
【学习笔记】101
【学习笔记】《菜根谭》150 一事起则一害生,故天下常以无事为福。读前人诗云 ...
8277_1586833249_2020-05-25 11:36:36_【学习笔记】
【学习笔记】打卡
【学习笔记】
【学习笔记】晒一晒学习时间。顺便凑个字数,应该很容易就有二十字了吧。哈哈 ...
【学习笔记】打卡
栏目导航
学道会
学术道德监督
经管文库(原现金交易版)
行业分析报告
经管高考
经管在职研
热门文章
CAIE LEVEL Ⅰ考试更新说明(2026年4月)
CDA 认证考试大纲 2025 重磅更新:一二级考 ...
2025-2026年度中国证券业运行形势分析与趋势 ...
2025-2026年度中国保险业运行形势分析与趋势 ...
我国金融机构的系统风险重要性研究——基于 ...
上海黄金是人民币汇率风险的对冲工具和安全 ...
OpenClaw+Claude Code丨从"手动科研"到 ...
从数据源头到商业洞察:CDA数据分析师视角下 ...
从“数字”到“数据”:CDA数据分析师视角下 ...
2026年3月宏观经济数据分析
推荐文章
五一充电,学术突围!四大AI赋能王牌课程, ...
关于学术研究和论文发表的一些建议
几种免费下载文献的方法----我的文献应助经
【必看】【本版版规,欢迎发悬赏贴求助】
【新课】26年3月|Gemini辅助论文写作与数据 ...
关于如何利用文献的若干建议
关于科研中如何学习基础知识的一些建议 (一 ...
一个自编的经济学建模小案例 --写给授课本科 ...
AI智能体赋能教学改革: 全国AI教育教学应用 ...
2025中国AIoT产业全景图谱报告-406页
说点什么
分享
微信
QQ空间
QQ
微博
扫码加好友,拉您进群
各岗位、行业、专业交流群