gbdcjy 发表于 2020-3-1 14:14 
请问,这个是代码吗?我做完BEKK-GARCH出结果后输入这些吗?我想判断的是三个变量之间的波动溢出效应。我 ...
我不是大佬,最近也在弄论文,也是有些一知半解。
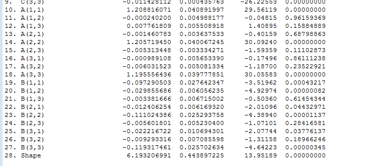
那个#后面的数字就是你结果中前面那些1.2.3.4.,就是第几行的意思
你要做波动溢出效应的wald检验不是分别有三个有关系数为0的假设吗,这个代码就是测为0的情况的
分别对应的比如其中一个假设是A(1,2)=B(1,2)=0的假设的话,就是#后面输入你结果对应的“11 20”
你自己试一下吧,我不懂你的三元是什么假设