全部版块 我的主页
论坛 计量经济学与统计论坛 五区 计量经济学与统计软件 EViews专版
1536 6
2020-03-10
引力模型已经进行变化后取对数,现在发现数据类型不一样,好像不能进行回归<br>
中国和进口国2004-2018年GDP、中国2004-2018年出口总额、绿色贸易壁垒(作为虚拟变量)、贸易距离<br>
这几个是数据,研究的是绿色贸易壁垒对出口的影响,我和参考文献数据大致一样,现在发现数据类型不一样怎么进行回归呀?有没有懂得大神帮忙解答一下。
二维码

扫码加我 拉你入群

请注明:姓名-公司-职位

以便审核进群资格,未注明则拒绝

全部回复
2020-3-11 13:38:04
1904356431 发表于 2020-3-10 15:34
引力模型已经进行变化后取对数,现在发现数据类型不一样,好像不能进行回归<br>
中国和进口国2004-2018 ...
用stata<br>

二维码

扫码加我 拉你入群

请注明:姓名-公司-职位

以便审核进群资格,未注明则拒绝

2020-3-15 19:43:41
alexinho 发表于 2020-3-11 13:38
用stata
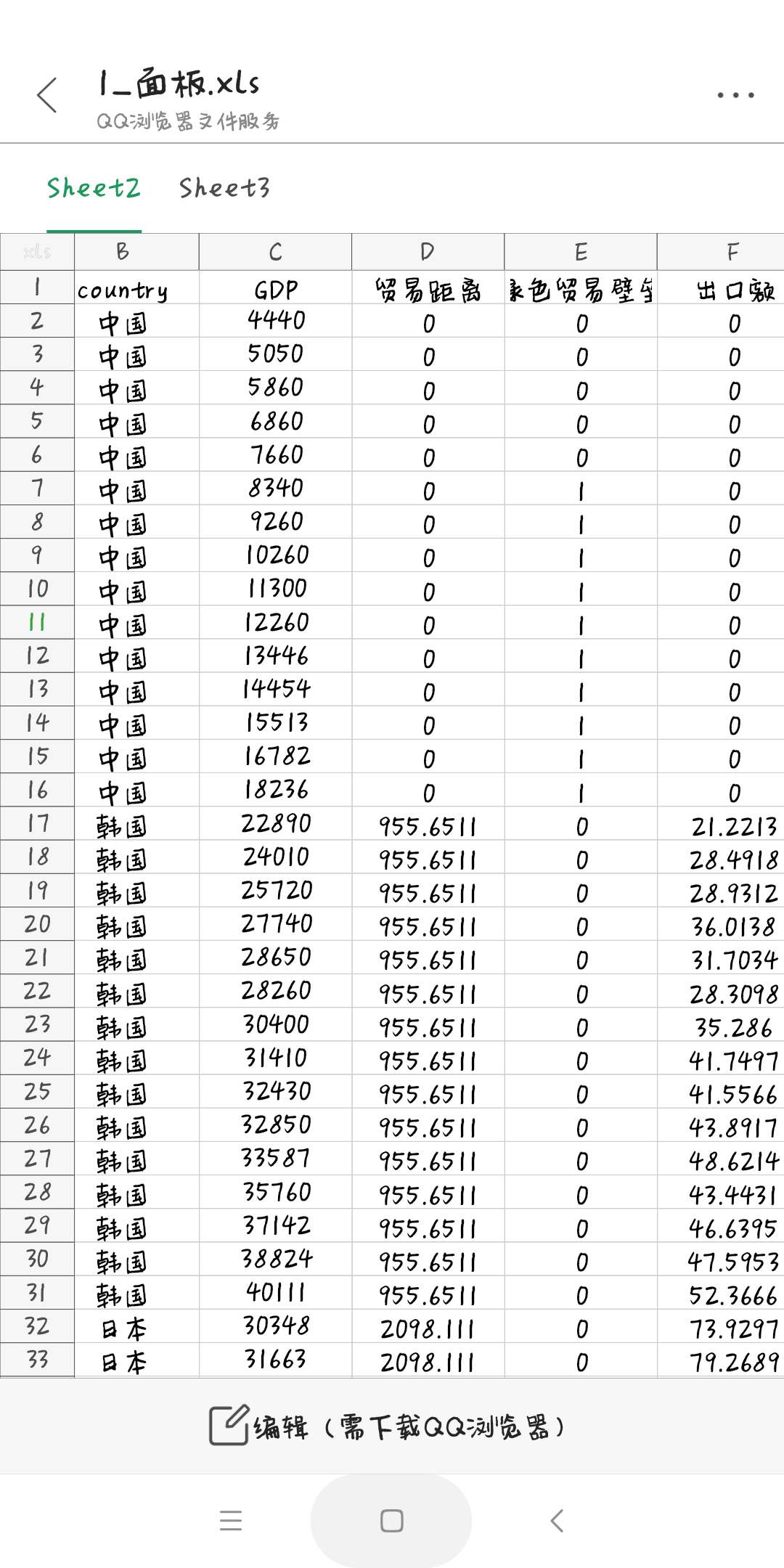
好的谢谢,再请教您一下,<br>
1  .中国对应年份的贸易壁垒这个数据,因为只是中国遭受的壁垒,其他进口国这块就没有数据了,我直接填0了,这样处理对吗?<br>
2  .最后一列数据是中国对其他国家的出口额,这里中国不能对中国出口所以我也填0了,这样处理对吗?
1584272624013773.png
二维码

扫码加我 拉你入群

请注明:姓名-公司-职位

以便审核进群资格,未注明则拒绝

2020-3-31 11:31:55
不太可以,这样不合适
把中国剔除,这样设置面板数据不太对
二维码

扫码加我 拉你入群

请注明:姓名-公司-职位

以便审核进群资格,未注明则拒绝

2020-4-28 12:57:50
1904356431 发表于 2020-3-15 19:43
好的谢谢,再请教您一下,
1  .中国对应年份的贸易壁垒这个数据,因为只是中国遭受的壁垒,其他进口国这块 ...
求教引力模型,急求QQ2143367515
二维码

扫码加我 拉你入群

请注明:姓名-公司-职位

以便审核进群资格,未注明则拒绝

2020-7-12 06:59:29
题主  问题解决了吗?  我的论文跟你这个基本一致,可以跟你交流一下吗?
二维码

扫码加我 拉你入群

请注明:姓名-公司-职位

以便审核进群资格,未注明则拒绝

点击查看更多内容…
栏目导航
热门文章
推荐文章

说点什么

分享

扫码加好友,拉您进群
各岗位、行业、专业交流群