经管之家App
让优质教育人人可得
立即打开
全部版块
我的主页
›
论坛
›
提问 悬赏 求职 新闻 读书 功能一区
›
学道会
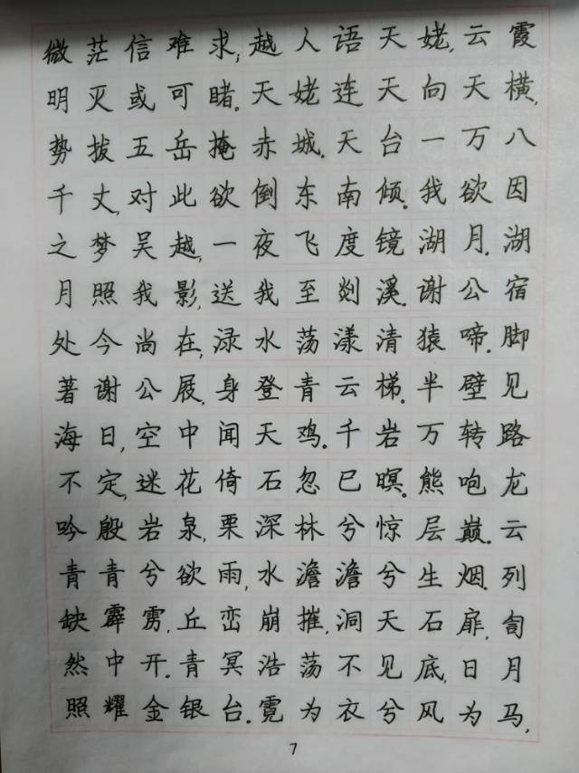
李沐寒521521_2020-03-13 07:36:06_【学习笔记】
楼主
李沐寒521521
910
13
收藏
2020-03-13
扫码加我 拉你入群
请注明:姓名-公司-职位
以便审核进群资格,未注明则拒绝
全部回复
沙发
hellocorel
2020-3-13 07:54:51
早上好
扫码加我 拉你入群
请注明:姓名-公司-职位
以便审核进群资格,未注明则拒绝
藤椅
李沐寒521521
2020-3-13 07:55:31
早上好啊,可能刚补充的笔记有啥敏感的,又被审核了——
扫码加我 拉你入群
请注明:姓名-公司-职位
以便审核进群资格,未注明则拒绝
板凳
充实每一天
2020-3-13 08:44:30
赞
扫码加我 拉你入群
请注明:姓名-公司-职位
以便审核进群资格,未注明则拒绝
报纸
jessie68us
2020-3-13 13:05:23
功夫不负有心人,太精彩了,如同印刷品,热血沸腾的点赞!
扫码加我 拉你入群
请注明:姓名-公司-职位
以便审核进群资格,未注明则拒绝
地板
李沐寒521521
2020-3-13 13:18:52
老大太过奖了,只能说我是尽量认真临摹了,可能练字还不够,效果不理想了——
扫码加我 拉你入群
请注明:姓名-公司-职位
以便审核进群资格,未注明则拒绝
点击查看更多内容…
7楼
jessie68us
2020-3-13 18:01:21
这么短时间,字迹能如此成熟,很了不起了。
扫码加我 拉你入群
请注明:姓名-公司-职位
以便审核进群资格,未注明则拒绝
8楼
李沐寒521521
2020-3-13 18:42:49
要想老大写的这样好,我练字的目标就达到了——
扫码加我 拉你入群
请注明:姓名-公司-职位
以便审核进群资格,未注明则拒绝
9楼
2565_1571887212
2020-3-13 18:54:05
我的也总被审
扫码加我 拉你入群
请注明:姓名-公司-职位
以便审核进群资格,未注明则拒绝
10楼
李沐寒521521
2020-3-13 19:39:04
各种名人,各种词汇都可能被审核了,根本搞不懂了『流汗』——
扫码加我 拉你入群
请注明:姓名-公司-职位
以便审核进群资格,未注明则拒绝
11楼
2565_1571887212
2020-3-13 20:10:45
嗯,懵懵的
扫码加我 拉你入群
请注明:姓名-公司-职位
以便审核进群资格,未注明则拒绝
12楼
李沐寒521521
2020-3-13 21:18:16
感觉自己萌萌哒『哈哈』——
扫码加我 拉你入群
请注明:姓名-公司-职位
以便审核进群资格,未注明则拒绝
13楼
DearElizabeth
2020-3-13 21:23:44
棒!
扫码加我 拉你入群
请注明:姓名-公司-职位
以便审核进群资格,未注明则拒绝
14楼
2565_1571887212
2020-3-13 22:25:01
高
扫码加我 拉你入群
请注明:姓名-公司-职位
以便审核进群资格,未注明则拒绝
相关推荐
【学习笔记】这个恒顺香醋越看越像茅台了。如果真的发展起来的话,他可能就必 ...
【学习笔记】今天挑选的文章比较简单,没有翻译全文。大体是讲作者认为冠状病 ...
【学习笔记】ddl的翻译啦
【学习笔记】昨日阅读二小时,本周累计阅读二小时。。
【学习笔记】hu
【学习笔记】hi
【学习笔记】太刺激了,今天就要出分了
栏目导航
学道会
经管文库(原现金交易版)
经管高考
微观经济学
SPSS论坛
统计软件培训班VIP答疑区
热门文章
通用指标与场景指标:CDA数据分析师的核心分 ...
2024年合集 ESG评级数据大全(彭博 华证 Wi ...
中国企业高质量发展展望穿越周期与聚力创新
中国企业高质量发展展望穿越周期与聚力创新
《那年2003:我双手插兜,搞钱不知什么叫对 ...
求文献“Using Survey Information for Imp ...
在概率与代码之间:Agent Skills 是 AI 的枷 ...
CDA数据分析脱产就业班于2026年3月7日开班! ...
参数估计:CDA数据分析师的核心推断工具,用 ...
GeoSaaS永久会员版
推荐文章
2026JG学术冬训营:从Stata初高到Python机器 ...
【必看】【本版版规,欢迎发悬赏贴求助】
【新课】26年3月|Gemini辅助论文写作与数据 ...
关于如何利用文献的若干建议
关于学术研究和论文发表的一些建议
关于科研中如何学习基础知识的一些建议 (一 ...
一个自编的经济学建模小案例 --写给授课本科 ...
AI智能体赋能教学改革: 全国AI教育教学应用 ...
2025中国AIoT产业全景图谱报告-406页
关于文献求助的一些建议
说点什么
分享
微信
QQ空间
QQ
微博
扫码加好友,拉您进群
各岗位、行业、专业交流群