全部版块 我的主页
论坛 经济学论坛 三区 微观经济学 经济金融数学专区
2020-4-15 16:23:13
1.png
2.png
3.png
4.png


二维码

扫码加我 拉你入群

请注明:姓名-公司-职位

以便审核进群资格,未注明则拒绝

2020-4-16 10:29:54
1.png
2.png
3.png

(转自微信公众号,备存)
二维码

扫码加我 拉你入群

请注明:姓名-公司-职位

以便审核进群资格,未注明则拒绝

2020-4-17 18:58:26
2020数学竞赛模拟题
1.png

1、解:因为
                          $\int_{0}^{1} e^{x^2}\cos nxdx=\frac{1}{n}\int_0^1e^{x^2}d\sin nx=\frac{1}{n}(e^{x^2}\sin nx|_0^1-\int_0^12xe^{x^2}\sin nxdx).$

              所以
                          $|\int_{0}^{1} e^{x^2}\cos nxdx|\leq \frac{1}{n}(e+2\int_0^1xe^{x^2}dx)=\frac{1}{n}(e+e^{-1})=0,(n\rightarrow \infty)$

               
2、解:因为
                           $\int_{0}^{1} e^x(\frac{1-x}{1+x^2})^2dx=\int_{0}^{1} e^x\frac{1-2x+x^2}{(1+x^2)^2}dx=\int_{0}^{1}( \frac{e^x}{1+x^2}-\frac{2x}{(1+x^2)^2})dx,$

            而
                           $\int_{0}^{1} e^x\frac{2x}{(1+x^2)^2}dx=\int_{0}^{1}e^xd \frac{1}{1+x^2}=\frac{-e^x}{1+x^2}|_0^1+\int_{a}^{b}\frac{e^x}{1+x^2}dx.$

           整理得
                           $\int_{0}^{1} e^x(\frac{1-x}{1+x^2})^2dx=\frac{1}{2}e-1.$

3、解:先对等式两边求导,得
                              $x^3f'(x)=-2x\cos x-x^2\sin x+2\sin x.$

                                $f'(x)=-\frac{2\cos x}{x^2}-\frac{\sin x}{x}+\frac{2\sin x}{x^3},$

                   再对上式求积分,得
                                $f(x)=-\int\frac{2\cos x}{x^2}dx-\int\frac{\sin x}{x}+\int\frac{2\sin x}{x^3}.$

                      这个积分没有难度。


二维码

扫码加我 拉你入群

请注明:姓名-公司-职位

以便审核进群资格,未注明则拒绝

2020-4-17 18:59:16
2020数学竞赛模拟题
2.png

4、解:整理所给方程,得
                              $(y')^2-x^2y^2+x(y'+xy)=0,$

                              $(y'+xy)(y'-xy+x)=0.$
              故必有
                            $y'+xy=0,$和(或)$y'-xy+x=0,$

                    解微分方程,分别得解为

                            $ y=Ce^{-x^2/2},y=Ce^{-x^2/2}+1.$


5、解:先将第一式进行变量代换
                            $y=\sqrt{\ln x},x=e^{y^2},dx=2ye^{y^2}dy,[1,2]\rightarrow [0,\sqrt{\ln2}],$

               得到
                              $\int_{1}^{2}\sqrt{\ln x}dx=\int_{0}^{\sqrt{\ln2}}2y^2e^{y^2}dy=ye^{y^2}|_0^{\sqrt{\ln2}}-\int_{0}^{\sqrt{\ln2}}e^{y^2}dy.$

                           $\therefore \int_{1}^{2}\sqrt{\ln x}dx+\int_{0}^{\sqrt{\ln2}}e^{y^2}dy=2\sqrt{\ln2}.$







二维码

扫码加我 拉你入群

请注明:姓名-公司-职位

以便审核进群资格,未注明则拒绝

2020-4-17 18:59:53
2020数学竞赛模拟题
3.png

解:变量代换
                     $x=\rho\cos t+1,y=\rho\sin t+1,0\leq \rho\leq-2(\cos t+\sin t),t\in[3\pi/4,7\pi/4].$
           利用对称性,有
                      \begin{align*}I&=2\int_{3\pi/4}^{5\pi/4}dt\int_{0}^{-2(\cos t+\sin t)}\frac{\rho}{(1+\rho^2)^2}d\rho\\\\&=2\int_{3\pi/4}^{5\pi/4}(\frac{1}{2}-\frac{1}{8(\cos t+\sin t)^2+2})dt\\\\&=\frac{\pi}{2}-\int_{3\pi/4}^{5\pi/4}\frac{1}{4(\cos t+\sin t)^2+1}dt,
\end{align*}
          其中
                         \begin{align*}\int_{3\pi/4}^{5\pi/4}\frac{1}{4(\cos t+\sin t)^2+1}dt&=\int_{3\pi/4}^{5\pi/4}\frac{1}{8\sin^2(t+\frac{\pi}{4})+1}dt\\\\&=\int_{\pi}^{3\pi/2}\frac{1}{8\sin^2t+1}dt\\\\&=\int_{\pi}^{3\pi/2}\frac{1}{\cos^2t(8\frac{\sin^2t}{\cos^2t}+\frac{1}{\cos^2t})}dt\\\\&=\int_{\pi}^{3\pi/2}\frac{1}{8\tan^2t+\tan^2t+1}d\tan t\\\\&=\frac{1}{3}(\arctan(3\tan t))|_0^{+\infty}\\\\&=\frac{\pi}{6}.\end{align*}

                          $\therefore I=\frac{\pi}{2}-\frac{\pi}{6}=\frac{\pi}{3}.$


注:本题非常技巧,直接计算不了。
二维码

扫码加我 拉你入群

请注明:姓名-公司-职位

以便审核进群资格,未注明则拒绝

2020-4-17 19:00:29
2020数学竞赛模拟题
4.png


解:用分步积分法求积,得
                        $I_n=\int_{0}^{\pi} \sin^nxdx=-\int_{0}^{\pi} \sin^{n-1}xd\cos x=-\cos x\sin^{n-1}|_0^\pi+(n-1)\int_{0}^{\pi} \sin^{n-2}\cos^2 xdx,$

              得递推公式
                        $I_n=(n-1)I_{n-2}-(n-1)I_n,$

               即
                         $nI_n=(n-1)I_{n-2}$

              将等式两边同乘$I_{n-1}$后,得
                        $nI_nI_{n-1}=(n-1)I_{n-1}I_{n-2}=(n-2)I_{n-2}I_{n-3}=...=I_1I_0=\pi\int_{0}^{\pi} \sin xdx=2\pi.$
                 又
                         $\because I_n-I_{n-1}=\int_{0}^{\pi}\sin^{n-1}x(\sin x-1)dx<0,$

                         $\therefore nI_nI_{n-1}>nI_n^2,$
               利用前面的递推公式,得

                          $nI_n^2<2\pi,\Rightarrow I_n<\frac{\sqrt{2\pi}}{\sqrt{n}}.$

               同理,有
                           $(n+1)I_nI_{n-1}<(n+1)I_n^2,\Rightarrow I_n>\frac{\sqrt{2\pi}}{\sqrt{n+1}}.$

                            $\sqrt{\frac{n}{n+1}2\pi}<\sqrt{n}I_n<\sqrt{2\pi},$

                            $\displaystyle \therefore \lim_{n \rightarrow \infty}\sqrt{n}I_n=\sqrt{2\pi}.$

类似的题还有:
1.png
参见:《数学分析精选习题解析 下册》林源渠 编著,2016




二维码

扫码加我 拉你入群

请注明:姓名-公司-职位

以便审核进群资格,未注明则拒绝

2020-4-22 18:00:08
1.png
2.png
3.png



二维码

扫码加我 拉你入群

请注明:姓名-公司-职位

以便审核进群资格,未注明则拒绝

2020-4-23 08:29:00
2020年全国大学数学竞赛(非数学类)模拟题一
1.png

(1)、证明分二步。首先证明$f(x)$为单调增函数:
                            对已知条件等式对$x$求导,得
                                         $f'(x)=\frac{1}{(1+f(x))e^{f(x)}},\because f(x)\geq 0,$(由已知条件知)

                                       $\therefore f'(x)\geq 0,\Rightarrow f(x)\uparrow .f(x)\geq  f(0)=0.$

                          其次,证$f(x)$有界。用反证法。假设$\displaystyle \lim_{x\to +\infty}f(x)=a,$有界。那么由已知条件知,当$x\to +\infty$时,等式左边这$+\infty$,而右边为有界数,显然矛盾。
                         综上,故有
                                          $\displaystyle \lim_{x\to +\infty}f(x)=+\infty.$

(2)、解
                      $\because x=f(x)e^{f(x)},$

                       $\therefore \ln x=\ln f(x)+f(x),$

                       $\displaystyle \lim_{x\to +\infty}\frac{f(x)}{\ln x}=\lim_{x\to +\infty}(1-\frac{\ln f(x)}{\ln x})=1-\lim_{x\to +\infty}\frac{f'(x)}{f(x)}=1.$

                       其中,由(1)知有
                                                  $f'(x)\to 0,(x\to+\infty)$





二维码

扫码加我 拉你入群

请注明:姓名-公司-职位

以便审核进群资格,未注明则拒绝

2020-4-23 08:29:32
2020年全国大学数学竞赛(非数学类)模拟题一
2.png

证明:由微分中值定理得
                        $\displaystyle \frac{\arctan a-\arctan b}{a-b}=\frac{1}{1+\xi^2}< 1,\xi\in(b,a)$

                所以不等式右边杨立。
               令
                          $a=\tan x.b=\tan y$
                    则
                           $\begin{align*}\frac{a-b}{\sqrt{1+a^2}\sqrt{1+b^2}}&=\frac{\tan x-\tan y}{\sec x\cdot \sec y}\\\\&=\cos x\cos y(\frac{\sin x}{\cos x}-\frac{\sin y}{\cos y})\\\\&=\sin x\cos y-\cos x\sin y=\sin(x-y)\\\\&< (x-y)=\arctan a-\arctan b.
\end{align*}$

                     即等式左边也成立。故原不等式成立。


二维码

扫码加我 拉你入群

请注明:姓名-公司-职位

以便审核进群资格,未注明则拒绝

2020-4-23 08:29:59
2020年全国大学数学竞赛(非数学类)模拟题一
3.png

证明:先证收敛。由已知,
                           $\because \frac{a_{n+1}}{a_n}=\frac{na_n}{1+(1+n)a_n}< \frac{na_n}{(1+n)a_n}<1,$

                                 $\frac{\frac{a_{n+1}}{a_n}}{\frac{a_{n}}{a_{n-1}}}=\frac{a_{n+1}a_{n-1}}{a_n^2}=\frac{na_{n-1}}{1+(1+n)a_n}< 1.$

                           $\therefore \{\frac{a_{n+1}}{a_n}\}$,单调有界,收敛。

                  由收敛性,有
                                 $\Rightarrow \frac{a_{n+1}}{a_n}\rightarrow 0,(n \to \infty )$

                       即   
                                   $\exists N,n> N,s.t.\frac{a_{n+1}}{a_n}< \frac{1}{2},$

                                   $a_n< \frac{1}{2}a_{n-1}< \frac{1}{2^2}a_{n-2}< \cdots < \frac{1}{2^n},$

                               $\therefore na_n< \frac{n}{2^n}\rightarrow 0,(n \to \infty)$
            
                 又
                                 $\because a_{n+1}+(1+n)a_{n+1}a_n=na^2_n,$

                                 $\therefore \frac{a_{n+1}}{a_n}=na_n-(n+1)a_{n+1},$

                                 $\displaystyle \sum_{k=0}^{n}\frac{a_{k+1}}{a_k}=2a_1+\sum_{k=0}^{n}(ka_k-(k+1)a_{k+1})=1-(n+1)a_{n+1}.$

                 所以级数和为
                               $\displaystyle \sum_{n=1}^{\infty}\frac{a_{n+1}}{a_n}=\lim_{n \to \infty}\sum_{k=0}^{n}\frac{a_{k+1}}{a_k}=1-\lim_{n \to \infty}(n+1)a_{n+1}=1,$


二维码

扫码加我 拉你入群

请注明:姓名-公司-职位

以便审核进群资格,未注明则拒绝

2020-4-23 08:30:26
2020年全国大学数学竞赛(非数学类)模拟题一
4.png

证明:(1)、
                         $\because f(0)=f(1)=0,$

                         $\therefore \exists x_0\in(0,1),s.t.f'(x_0)=0.(Rolle)$
            由已知
                          $f''(x)<0.$
               故有
                         $f(x_0)=M=\underset{0\leq x\leq 1}{\max}\{f(x)\},$
               又
                         $f'(\xi)=\frac{f(x_0)-f(0)}{x_0}=\frac{M-0}{x_0}=\frac{M}{x_0},$
               而
                          $\because x_0< 1,\therefore f'(\xi)> M.$
               由极大值点性质及已知条件,有
        
                           $f'(x_0)=0,f'(x)\in C(0,1),$
                 由介值定理知
                           $\exists x_n\in(\xi,x_0)\subset (0,1),s.t.f'(x_n)=\frac{M}{n}.$
               
          (2)、   
                           $\because x_n> 0,x_n=\frac{M}{n}> \frac{M}{n+1}=x_{n+1},$

                           $\therefore \{x_n\}$单调有界,收敛。
                    又
                           $\displaystyle \because \lim_{n \to \infty }f'(x_n)=\lim_{n \to \infty }\frac{M}{n}=0=f'(x_0),$

                            $\displaystyle \therefore \lim_{n \to \infty }x_n=x_0.$

                            $\displaystyle \Rightarrow \lim_{n \to \infty }f(x_n)=f(x_0)=M.$





二维码

扫码加我 拉你入群

请注明:姓名-公司-职位

以便审核进群资格,未注明则拒绝

2020-4-23 13:25:28
南开大学2020数学分析真题解答(第二题)
1.png
2.jpg
给出用到的两个充要条件
3.png
4.png



二维码

扫码加我 拉你入群

请注明:姓名-公司-职位

以便审核进群资格,未注明则拒绝

2020-4-27 13:40:30
求积分序列极限
1.png
2.png

二维码

扫码加我 拉你入群

请注明:姓名-公司-职位

以便审核进群资格,未注明则拒绝

2020-4-27 13:41:28
求积分序列极限
3.png
4.png


二维码

扫码加我 拉你入群

请注明:姓名-公司-职位

以便审核进群资格,未注明则拒绝

2020-4-29 08:20:58
2020年全国大学数学竞赛(非数学类)模拟题二

1、求积分极限:
                  $\displaystyle \therefore \lim_{n \to \infty }n\int_{0}^{1}\frac{x^n}{1+x^n}dx$

解:由于
                  $\int_{0}^{1}\frac{x^n}{1+x^n}dx=\frac{1}{n}x\ln(1+x^n)-\frac{1}{n}\int_{0}^{1}\ln(1+x^n)dx=\frac{1}{n}\ln2-\frac{1}{n}\int_{0}^{1}\ln(1+x^n)dx,$

           设$\delta > 0,$再将积分区间分为两部分,分别求积

                   $\frac{1}{n}\int_{0}^{1}\ln(1+x^n)dx=\frac{1}{n}\int_{0}^{1-\delta }\ln(1+x^n)dx+\frac{1}{n}\int_{1-\delta }^{1}\ln(1+x^n)dx,$

         其中
                    $\frac{1}{n}\int_{0}^{1-\delta }\ln(1+x^n)dx=0,$

                    $\frac{1}{n}\int_{1-\delta }^{1}\ln(1+x^n)dx=\frac{1}{n}\ln(1+\xi^2)\cdot \delta =0,(\delta \to 0,\xi\in(1-\delta ,1),\xi\to 1)$

                   $\displaystyle \therefore \lim_{n \to \infty }n\int_{0}^{1}\frac{x^n}{1+x^n}dx=\ln2.$


注:求积分极限是20年研究生考试热门考点之一。


二维码

扫码加我 拉你入群

请注明:姓名-公司-职位

以便审核进群资格,未注明则拒绝

2020-4-29 15:25:21
2020年全国大学数学竞赛(非数学类)模拟题二

2、求积分
                     $\int_{0}^{1}dx\int_{0}^{x}dy\int_{0}^{y}\frac{\sin z}{1-z}dz$

解:进行积分顺序交换

          $0\leq z\leq y,0\leq y\leq x,0\leq x\leq 1.$

           $\Rightarrow 0\leq x\leq y,z\leq y\leq 1,0\leq z\leq 1.$

          $\begin{align*}\int_{0}^{1}dx\int_{0}^{x}dy\int_{0}^{y}\frac{\sin z}{1-z}dz&=\int_{0}^{1}\frac{\sin z}{1-z}dz\int_{z}^{1}dy\int_{0}^{y}dx\\\\&=\frac{1}{2}\int_{0}^{1}(1+z)\sin zdz\\\\&=-\frac{1}{2}(1+z)\cos z|_0^1+\frac{1}{2}\int_{0}^{1}\cos zdz\\\\&=-\cos1+\frac{1}{2}+\frac{1}{2}\sin1.
\end{align*}$


注:本题关键是积分次序的交换,直接积分是积不出来的。解题得到网友的帮助。
二维码

扫码加我 拉你入群

请注明:姓名-公司-职位

以便审核进群资格,未注明则拒绝

2020-4-30 14:39:49
2020年全国大学数学竞赛(非数学类)模拟题二

3、已知$f(x)$连续,$f(x+2)-f(x)=\sin x,\int_{0}^{2}f(x)dx=0,$求$\int_{1}^{3}f(x)dx.$

解:由已知条件,得
                                $\because \int_{0}^{2}f(x)dx=0,$

                                $\begin{align*}\therefore \int_{1}^{3}f(x)dx&=\int_{1}^{0}f(x)dx+\int_{0}^{2}f(x)dx+\int_{2}^{3}f(x)dx\\\\&=-\int_{0}^{1}f(x)dx+\int_{2}^{3}f(x)dx\\\\&=-\int_{0}^{1}f(x)dx+\int_{0}^{1}f(x+2)dx.\end{align*}$

               又
                                $\because f(x+2)-f(x)=\sin x,$

                                $\therefore \int_{0}^{1}f(x+2)dx-\int_{0}^{1}f(x)dx=\int_{0}^{1}\sin xdx=1-\cos 1.$

             代入,得
                                $\int_{1}^{3}f(x)dx=1-\cos 1.$


二维码

扫码加我 拉你入群

请注明:姓名-公司-职位

以便审核进群资格,未注明则拒绝

2020-4-30 17:48:10
2020年全国大学数学竞赛(非数学类)模拟题二-
1.png
解:
               $\begin{align*}\lim_{n \to \infty }\sum_{i=1}^{n}\sum_{k=1}^{i}\frac{1}{(n+i+k)^2}&=\lim_{n \to \infty }\sum_{i=1}^{n}\sum_{k=1}^{i}\frac{1}{n^2(1+\frac{i}{n}+\frac{k}{n})^2}\\\\&=\int_{0}^{1}dx\int_{0}^{1}\frac{1}{(1+x+y)^2}dy\\\\&=\int_{0}^{1}(\frac{1}{1+x}-\frac{1}{1+2x})dx\\\\&=\ln(1+x)|_0^1-\frac{1}{2}\ln(1+2x)|_0^1\\\\&=\ln\frac{2}{\sqrt{3}}.
\end{align*}$






二维码

扫码加我 拉你入群

请注明:姓名-公司-职位

以便审核进群资格,未注明则拒绝

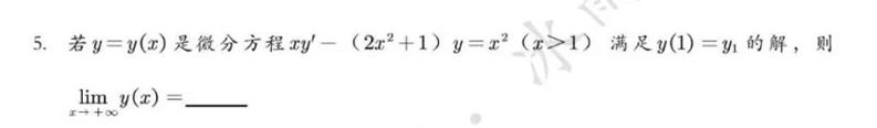
2020-4-30 17:48:49
2020年全国大学数学竞赛(非数学类)模拟题二
2.png

解:
            $\displaystyle\because y=e^{-\int (2x+\frac{1}{x})dx}(C+\int e^{-\int (2x+\frac{1}{x})dx}x^2dx=\frac{1}{x}e^{-x^2}(C-\frac{1}{2}e^{-x^2}),$

                  $y(1)=y,C< \infty .$

             $\displaystyle \therefore \lim_{x\to +\infty }y(x)=\lim_{x\to +\infty }\frac{1}{x}e^{-x^2}(C-\frac{1}{2}e^{-x^2})=0.$




二维码

扫码加我 拉你入群

请注明:姓名-公司-职位

以便审核进群资格,未注明则拒绝

2020-4-30 17:49:23
2020年全国大学数学竞赛(非数学类)模拟题二
3.png

证明:
              $\begin{align*}\iint_ \underset{|y|< R}{{|x|< R}}(x^2+y^2)e^{-x^2-y^2}dxdy&=\iint x^2e^{-x^2-y^2} dxdy +\iint y^2e^{-x^2-y^2} dxdy\\\\&=2\iint_\underset{|y|< R}{{|x|< R}} x^2e^{-x^2-y^2} dxdy\\\\&=2\int_{-R}^{R}x^2e^{-x^2}dx\int_{-R}^{R}e^{-y^2}dy.\end{align*}$

             $\begin{align*}\lim_{R\to +\infty }2\int_{-R}^{R}x^2e^{-x^2}dx\int_{-R}^{R}e^{-y^2}dy&=2\lim_{R\to +\infty }(\int_{-R}^{R}x^2e^{-x^2}dx)^2\\\\&=\lim_{R\to +\infty }(\int_{-R}^{R}e^{-x^2}dx)^2=\pi.
\end{align*}$



二维码

扫码加我 拉你入群

请注明:姓名-公司-职位

以便审核进群资格,未注明则拒绝

2020-4-30 17:49:58
2020年全国大学数学竞赛(非数学类)模拟题二
4.png

解:
                          $\displaystyle \because e^{-y}+\int_{0}^{x}e^{-t^2}dt-y+x=1,$

                          $\displaystyle \therefore -y'e^{-y}+e^{-x^2}-y'+1=0,$

              由此得
                           $\displaystyle y'=\frac{e^{-x^2}+1}{e^{-y}+1}> 0,$

              因此,有
                             $\displaystyle y\uparrow ,\lim_{x\to+\infty}y=a$,或者$+\infty.$

                 将$\displaystyle \lim_{x\to+\infty}y=a,$代入已知方程,不成立。故必有

                              $\displaystyle \lim_{x\to+\infty}y=+\infty.$

                 进而得到
                              $\displaystyle \lim_{x\to+\infty}y'=\lim_{x\to+\infty}\frac{e^{-x^2}+1}{e^{-y}+1}=1.$






二维码

扫码加我 拉你入群

请注明:姓名-公司-职位

以便审核进群资格,未注明则拒绝

2020-5-6 19:37:05
2020年全国大学数学竞赛(非数学类)模拟题二
1.png

解:
             由已知,得
                              $\begin{align*}a_n^2-1&=(a_n+1)(a_n-1)=2a_{n-1}^2(a_n-1)=2a_{n-1}^2(2a^2_{n-1}-2)\\\\&=2^2a^2_{n-1}(a^2_{n-1}-1)=2^4a^2_{n-1}a^2_{n-2}(a^2_{n-2}-1)\\\\&=\cdots =2^{2n}(a_{n-1}a_{n-2}\cdots a_1)^2(a_{1}-1)\\\\&=2(2^na_{n-1}a_{n-2}\cdots a_1)^2,
\end{align*}$

               由上式,可知有
                                  $\displaystyle \lim_{n \to \infty }a_n=+\infty ,$

              故而
                                  $\displaystyle \lim_{n \to \infty }\frac{a_n}{2^na_{n-1}a_{n-2}\cdots a_1}=\lim_{n \to \infty }\frac{a_n}{\sqrt{\frac{a^2_n-1}{2}}}=\sqrt{2}.$


二维码

扫码加我 拉你入群

请注明:姓名-公司-职位

以便审核进群资格,未注明则拒绝

2020-5-6 19:37:50
2020年全国大学数学竞赛(非数学类)模拟题二
2.png

证明:先进行交换积分次序
                                    $\begin{align*} \int_{0}^{1}dx\int_{0}^{1}(xy)^{xy}dy&=\int_{0}^{1}\frac{1}{x}dx\int_{0}^{x}t^tdt\\\\&=\int_{0}^{1}t^tdt\int_{t}^{1}\frac{1}{x}dx\\\\&=-\int_{0}^{1}t^t\ln tdt\\\\&=\int_{0}^{1}x^xdx-\int_{0}^{1}x^x(\ln x+1)dx,\end{align*}$

                 又
                                 $\because \int_{0}^{1}x^x(\ln x+1)dx=\int_{0}^{1}e^(x\ln x)d(x\ln x)=e^{x\ln x}|_0^1=0.$

                                 $\therefore \int_{0}^{1}dx\int_{0}^{1}(xy)^{xy}dy=\int_{0}^{1}x^xdx.$



二维码

扫码加我 拉你入群

请注明:姓名-公司-职位

以便审核进群资格,未注明则拒绝

2020-5-6 19:38:25
2020年全国大学数学竞赛(非数学类)模拟题二
3.png

解:由已知方程在$[0,1]$上对$x$积分,得
                            $\int_{0}^{1}f(x+y)dx=\int_{0}^{1}f(x)dx+f(y)\int_{0}^{1}xy(x+y)dx,$

           对等式左边进行变量变换并整理得
                            $\int_{y}^{y+1}f(t)dt=\int_{0}^{1}f(x)dx+f(y)+\frac{1}{3}y+\frac{1}{2}y^2,$

             再对上式对$y$求导,得
                             $f(y+1)-f(y)=f'(y)+\frac{1}{3}+y,$

             又,对已知方程式,令$x=1$,得到
                               $f(y+1)-f(y)=f(1)+y(y+1)=\frac{2}{3}+y^2+y,(\because f(1)=\frac{2}{3})$

               由上述两式,得到
                                $f'(y)+\frac{1}{3}+y=\frac{2}{3}+y^2+y,$

                                $\Rightarrow f'(y)=\frac{1}{3}+y^2,$

                  再由上式求积,得
                                $f(x)=\frac{1}{3}x+\frac{1}{3}x^3.$


二维码

扫码加我 拉你入群

请注明:姓名-公司-职位

以便审核进群资格,未注明则拒绝

2020-5-6 19:39:07
2020年全国大学数学竞赛(非数学类)模拟题二
4.png

证明:
                                  $\displaystyle \because 2x_{n+1}=x_n+\sqrt{x^2_n+\frac{1}{n^2}},$

                                   $\displaystyle \therefore 2x_{n+1}=x_n+\sqrt{x^2_n+\frac{1}{n^2}}> 2x_n,$

                                   $\displaystyle \Rightarrow x_{n+1}> x_n,x_n\uparrow.$单调。

                  又
                                  $\displaystyle \because 2x_{n+1}=x_n+\sqrt{x^2_n+\frac{1}{n^2}}< x_{n+1}+\sqrt{x^2_n+\frac{1}{n^2}}, $

                                   $\displaystyle \therefore x_{n+1}< \sqrt{x^2_n+\frac{1}{n^2}},$

                                   $\displaystyle \Rightarrow x^2_{n+1}< x_n^2+\frac{1}{n^2}< \cdots < x^2_1+1+\frac{1}{2^2}+\cdots +\frac{1}{n^2},$

                 而由
                                   $\displaystyle \because 1+\frac{1}{2^2}+\cdots +\frac{1}{n^2}< \infty ,(n \to \infty )$
               
                                    $\displaystyle \therefore x^2_{n+1}< M,$有界。

                  由数列单调有界性,知
                                     $\Rightarrow \displaystyle  \lim_{n \to \infty }x_n< \infty .$



二维码

扫码加我 拉你入群

请注明:姓名-公司-职位

以便审核进群资格,未注明则拒绝

2020-5-8 16:12:54
中国科学技术大学2020年考研数分试题
1.png

解:
               $\displaystyle \lim_{x\to 0}\frac{(1+x^2)^{3/2}-\cos x}{\sin x^2}=\lim_{x\to 0}\frac{1+\frac{3}{2}(x^2)+o(x^2)-1+\frac{1}{2}x^2+o(x^2)}{x^2+o(x^2)}=2.$



二维码

扫码加我 拉你入群

请注明:姓名-公司-职位

以便审核进群资格,未注明则拒绝

2020-5-8 16:13:34
中国科学技术大学2020年考研数分试题
2.png

解:
          $\displaystyle \lim_{x\to 0}\frac{\int_{0}^{x}f(t)(x-t)dt}{x\int_{0}^{x}f(2x-2t)dt}=\lim_{x\to 0}\frac{\int_{0}^{x}f(t)dt+xf(x)-xf(x)}{xf(0)}=\lim_{x\to 0}\frac{f(x)}{f(0)}=1.$



二维码

扫码加我 拉你入群

请注明:姓名-公司-职位

以便审核进群资格,未注明则拒绝

2020-5-8 16:14:24
中国科学技术大学2020年考研数分试题
3.png

用链式求导法,(略)


二维码

扫码加我 拉你入群

请注明:姓名-公司-职位

以便审核进群资格,未注明则拒绝

2020-5-8 16:14:59
中国科学技术大学2020年考研数分试题
4.png

解:根据积分对称性质,得
                             $I=\iiint_V(\sqrt{x^2+y^2+z^2}+x^5+y^2\sin y)dV=\iiint_V\sqrt{x^2+y^2+z^2}dV,$

              采用球面坐标系计算
                               \begin{cases}
x=r\sin\theta \cos \varphi &,0\leq r\leq 2\cos \theta , \\
y=r\sin \theta \sin \varphi &, 0\leq \varphi \leq 2\pi, \\
z=r\cos \theta &,0\leq \theta \leq \frac{\pi}{2}
\end{cases}

                               $|J|=r^2\sin \theta ,$

                               \begin{align*}I&=\int_{0}^{2\pi}d\varphi \int_{0}^{\pi/2}\sin\theta d\theta \int_{0}^{2\cos \theta }r\cdot r^2dr\\\\&=\frac{1}{4}\int_{0}^{2\pi}d\varphi \int_{0}^{\pi/2}\sin\theta\cdot 16\cos^4\theta  d\theta\\\\&=-\frac{8}{5}\pi\cdot (\cos^5\theta )|_0^{\pi/2}\\\\&=\frac{8}{5}\pi.
\end{align*}



二维码

扫码加我 拉你入群

请注明:姓名-公司-职位

以便审核进群资格,未注明则拒绝

2020-5-9 08:38:57
中国科学技术大学2020年考研数分试题
1.png

解:
              作一个包含原点的椭球面$\Sigma _1:4x^2+2y^2+z^2=\varepsilon ^2,(\varepsilon \leq 1),$取$\Sigma _1$所包围的闭合区域为$\Omega _1$,方向向外。取由曲面$\Sigma -\Sigma _1$所围的闭合区域为$\Omega _2$.

                则
                                   $\displaystyle I=\iint_\Sigma \frac{xdydz+ydzdx+zdxdy}{(4x^2+2y^2+z)^{\frac{3}{2}}} =I_1+I_2,$

                 其中
                                    $\displaystyle I_1=\iint_{\Sigma _1}\frac{xdydz+ydzdx+zdxdy}{(4x^2+2y^2+z)^{\frac{3}{2}}}  ,$

                                     $\displaystyle I_2=\iint_{\Sigma-\Sigma_1}\frac{xdydz+ydzdx+zdxdy}{(4x^2+2y^2+z)^{\frac{3}{2}}} .$

       则在$\Omega _2$上,有
                                    $\displaystyle \because \frac{\partial P}{\partial x}+\frac{\partial Q}{\partial x}+\frac{\partial R}{\partial x}=0.$

                                    $\displaystyle \therefore I_2=\iiint_{\Omega _2} (\frac{\partial P}{\partial x}+\frac{\partial Q}{\partial x}+\frac{\partial R}{\partial x})dV=0.$

            因此
                                    $\begin{align*}\therefore I&=I_1+I_2\\\\&=\iint_{\Sigma _1}\frac{xdydz+ydzdx+zdxdy}{(4x^2+2y^2+z^2)^{\frac{3}{2}}}+0\\\\&=\frac{3}{\varepsilon ^3}\iiint_{\Omega_1}dV\\\\&=\frac{3}{\varepsilon ^3}\cdot \frac{4}{3}\pi\varepsilon \cdot \sqrt{2}\varepsilon \cdot 2\varepsilon \\\\&=8\sqrt{2}\pi.\end{align*}$

               其中椭球体积公式为
                                    $\iiint_{\Omega_1}dV=\frac{4}{2}\pi abc.$


注:1、此题还是有些技巧,是下列典型题的变体:
                                   $\displaystyle \iint_V\frac{xdydz+ydzdx+zdxdy}{(x^2+y^2+z^2)^{\frac{3}{2}}}$

积分区域是球或椭球面。这种类型相对容易,方法相同。
    2、一直在寻找上面这种方法的解题支持,今天在《研究生入学考试数学分析真题集解》(下册 梁志清,黄军华,钟镇权编著,2016)p1085,上找到了一个相同的解法依据。可参照。这样的方法可避免面对椭圆积分的问题。






二维码

扫码加我 拉你入群

请注明:姓名-公司-职位

以便审核进群资格,未注明则拒绝

栏目导航
热门文章
推荐文章

说点什么

分享

扫码加好友,拉您进群
各岗位、行业、专业交流群