全部版块 我的主页
论坛 经济学论坛 三区 微观经济学 经济金融数学专区
2020-6-16 07:25:00
南京师范大学2020年考研数分试题
1.png

解:
                      $\because \rho (x,y)=\sqrt{x}+\sqrt{y},$

                      $\begin{align*}\therefore M&=\iint_D \rho (x,y)dxdy=\iint_D (\sqrt{x}+\sqrt{y})dxdy\\\\&=2\int_{0}^{1}dx\int_{0}^{(1-\sqrt{x})^2}\sqrt{y}dy=\frac{32}{15}.\end{align*}$


二维码

扫码加我 拉你入群

请注明:姓名-公司-职位

以便审核进群资格,未注明则拒绝

2020-6-16 07:25:34
南京师范大学2020年考研数分试题
2.png

解:此题较简单,也是比较典型的曲面积分计算题。因为曲面积分在原点无定义,而积分区域包含原点。由于在原点被积函数的偏导数不连续,因此不能直接用高斯公式计算,而要作一个包围原点的小区域$\Sigma'$,上半球。设

                                        $\Sigma':x^2+y^2+z^2=\varepsilon ^2,(\varepsilon > 0)$

               $\varepsilon$足够小,使其包含于$\Sigma$内。则

                                        $\begin{align*}I&=\iint_\Sigma =\iint_{\Sigma -\Sigma' } +\iint_{\Sigma'} \\\\&=0+\iint_{\Sigma'}=\frac{1}{2\varepsilon ^3}\iiint_{\Omega '}3dV\\\\&=\frac{3}{2\varepsilon ^3}\cdot \frac{4}{3}\pi \varepsilon ^3=2\pi.\end{align*}$

            


二维码

扫码加我 拉你入群

请注明:姓名-公司-职位

以便审核进群资格,未注明则拒绝

2020-6-16 15:38:55
华东师范大学2020年数学分析考研试题
二、计算题
1.png

解:添加一个平面
                               $\Sigma':z=2,(x^2+y^2\leq 4),\uparrow $

          利用高斯公式
                               $\begin{align*}I&=\iint_{\Sigma }=\iint_{\Sigma+\Sigma'}-\iint_{\Sigma'}\\\\&=\iiint_\Omega (1+\frac{1}{2\sqrt{z}})dV-\iint_{D'}\sqrt{2}dxdy\\\\&=\iint_Ddxdy\int_{\frac{1}{2}(x^2+y^2)}^{2}(1+\frac{1}{2\sqrt{z}})dz-4\sqrt{2}\pi\\\\&=\int_{0}^{2\pi}d\theta \int_{0}^{2} r\cdot (z+\sqrt{z})|_{\frac{1}{2}(x^2+y^2)}^2dr\\\\&=2\pi\int_{0}^{2}(2+\sqrt{2}-\frac{1}{2}r^2-\frac{1}{\sqrt{2}}r)rdr\\\\&=4(1+\frac{\sqrt{2}}{3})\pi.\end{align*}$


二维码

扫码加我 拉你入群

请注明:姓名-公司-职位

以便审核进群资格,未注明则拒绝

2020-6-16 15:39:35
华东师范大学2020年数学分析考研试题
二、计算题
2.png

解:用夹逼法,令
                               $\displaystyle a_i=\max \{a_{n+1},a_{n+2},\cdots ,a_{2n}\},$

                               $\displaystyle a_j=\min \{a_{n+1},a_{n+2},\cdots ,a_{2n}\},$

                               $\displaystyle \because \lim_{n \to +\infty }a_n=A,$

                               $\displaystyle \therefore \lim_{i \to +\infty }a_i=A=\lim_{j\to+\infty }a_j,(n\to+\infty )$
                   又
                                $\displaystyle \because \lim_{n \to +\infty } (\frac{1}{n+1}+\frac{1}{n+2}+\cdots +\frac{1}{2n})=\ln2.$

                   再由不等式
                                $\displaystyle a_j(\frac{1}{n+1}+\frac{1}{n+2}+\cdots +\frac{1}{2n})\leq (\frac{a_{n+1}}{n+1}+\frac{a_{n+2}}{n+2}+\cdots +\frac{a_{2n}}{2n})\leq a_i(\frac{1}{n+1}+\frac{1}{n+2}+\cdots +\frac{1}{2n}),$

                                $\displaystyle \therefore \lim_{n \to +\infty }(\frac{a_{n+1}}{n+1}+\frac{a_{n+2}}{n+2}+\cdots +\frac{a_{2n}}{2n})=A\ln2.$


二维码

扫码加我 拉你入群

请注明:姓名-公司-职位

以便审核进群资格,未注明则拒绝

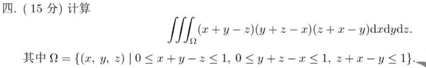
2020-6-16 19:09:06
武汉大学2020年考研数分试题
1.png
解:作变量代换,令
                           $u=x+y-z,v=y+z-x,w=z+x-y,0\leq u,v,w\leq 1,$

                            $x=\frac{1}{2}(u+w),y=\frac{1}{2}(u+v),z=\frac{1}{2}(v+w).$

                            $|J|=\begin{vmatrix}
\frac{1}{2}  & 0 & \frac{1}{2} \\
\frac{1}{2}  &\frac{1}{2}  &0 \\
0 & \frac{1}{2}  & \frac{1}{2}
\end{vmatrix}=\frac{1}{4}. $

                 则
                           $\displaystyle I=\frac{1}{4} \iiint_\Omega uvwdudvdw=\frac{1}{4}(\int_{0}^{1} udu)^3=\frac{1}{32}.$


二维码

扫码加我 拉你入群

请注明:姓名-公司-职位

以便审核进群资格,未注明则拒绝

2020-6-16 20:05:02
哎,看2020年那些数学分析计算题,三重积分,曲面积分基本都是以前考过的类型。不过也是,几何形状就那么几种。熟能生巧。
二维码

扫码加我 拉你入群

请注明:姓名-公司-职位

以便审核进群资格,未注明则拒绝

2020-6-16 23:11:00
(1)、已知$\displaystyle \Sigma :x^2+y^2+z^2=a^2,$求:
                                                                    $\displaystyle \iint_{\Sigma}\frac{z-a}{(x^2+y^2+(z-a)^2)^{\frac{3}{2}}}dS.$
(2)、计算积分
                           $\displaystyle \int_{0}^{2\pi}d\theta \int_{0}^{\pi}e^{\sin\varphi (\cos\theta -\sin\theta )}\sin\varphi  d\varphi. $

解:(1)、作坐标变换
                                     $\begin{cases}
x=a\sin \varphi \cos \theta  &, 0\leq \varphi \leq \pi \\
y=a\sin \varphi\sin \theta  &, 0\leq \theta \leq 2\pi \\
z=a\cos \varphi  &  
\end{cases}$

                 则
                                      $E=x_\varphi ^2+y_\varphi ^2+z_\varphi ^2=a^2,\\
F=x_\varphi x_\theta +y_\varphi y_\theta +z_\varphi z_\theta =0,\\
G=x_\theta ^2+y_\theta ^2+z_\theta ^2=a^2\sin ^2\varphi .\\
dS=\sqrt{EG-F^2}=a^2\sin\varphi d\theta d\varphi ,$

                所以
                                      $\begin{align*}I&=\iint_S\frac{z-a}{(x^2+y^2+(z-a)^2)^{\frac{3}{2}}} dS\\\\&=a^2\int_{0}^{2\pi}d\theta \int_{0}^{\pi}\frac{a\cos \varphi-a}{(2a^2-2a^2\cos \varphi )^{\frac{3}{2}}}\sin \varphi d\varphi\\\\&=\frac{\pi}{\sqrt{2}}\int_{0}^{\pi}\frac{\sin\varphi }{\sqrt{1-\cos\varphi}}d\varphi\\\\&=-2\pi.\end{align*}$

(2)、作坐标变换
                                      $\begin{cases}
x=a\sin \varphi \cos \theta  &, 0\leq \varphi \leq \pi \\
y=a\sin \varphi\sin \theta  &, 0\leq \theta \leq 2\pi \\
z=a\cos \varphi  &  
\end{cases}$

                                       $\displaystyle \Sigma :x^2+y^2+z^2=1,$

                       又由Possion公式:
                                      $\displaystyle \because \iint_\Sigma f(ax+by+cz)dS=2\pi\int_{-1}^{1}f(\sqrt{a^2+b^2+c^2}u)du,$

                                      $\displaystyle \therefore I=\iint_\Sigma e^{x-y}dS=2\pi\int_{-1}^{1}e^{\sqrt{2}u}du=\sqrt{2}\pi(e^{\sqrt{2}}-e^{-\sqrt{2}}).$

注:可以证明下例结论:
1.png



二维码

扫码加我 拉你入群

请注明:姓名-公司-职位

以便审核进群资格,未注明则拒绝

2020-6-17 11:10:12
一道Fourier级数题
1.png


二维码

扫码加我 拉你入群

请注明:姓名-公司-职位

以便审核进群资格,未注明则拒绝

2020-6-17 17:44:47
一道极限题(转自徐大顺)
1.png
2.png
3.png
4.png

二维码

扫码加我 拉你入群

请注明:姓名-公司-职位

以便审核进群资格,未注明则拒绝

2020-6-18 11:33:31
《数学分析教程(第三版) 下》[常庚哲,史济怀编著],问题10.2利用Possion公式一例
1.png

证明:先利用球面坐标变换
                                     $\begin{cases}
x=r\sin\theta \cos \varphi  &, 0\leq \theta  \leq \pi \\
y=r\sin\theta \sin \varphi  &, 0\leq \varphi\leq 2\pi\\
z=r\cos\theta  & ,0\leq r\leq 1
\end{cases}\\
J=r^2\sin\theta .$
                     
                     再利用Possion公式                 
                                      $\begin{align*}\therefore I&=\iiint_{x^2+y^2+z^2\leq 1}f(\frac{ax+by+cz}{\sqrt{x^2+y^2+z^2}})dxdydz\\\\&=\int_{0}^{2\pi}d\varphi \int_{0}^{\pi}\sin \theta d\theta \int_{0}^{1}f(a\sin\theta \cos \varphi+b\sin\theta \sin \varphi+c\cos\theta)r^2dr\\\\&=\frac{1}{3}\iint_{x^2+y^2+z^2\leq 1}f(ax+by+cz)dS\\\\&=\frac{2}{3}\pi\int_{-1}^{1}f(\sqrt{a^2+b^2+c^2}t)dt.\end{align*}$


二维码

扫码加我 拉你入群

请注明:姓名-公司-职位

以便审核进群资格,未注明则拒绝

2020-6-18 20:38:41
中山大学2019年679数学分析与高等代数考研试题
1.png

解:作球面坐标变换
                               $\begin{align*}\because F(t)&=\iiint_{x^2+y^2+z^2\leq t^2}f(x^2+y^2+z^2)dV\\\\&=\int_{0}^{2\pi}d\theta \int_{0}^{\pi}\sin \varphi d\varphi \int_{0}^{t}f(r^2)r^2dr\\\\&=4\pi\int_{0}^{t}f(r^2)r^2dr.\end{align*}$

                                $\therefore F'(t)=4\pi f(t^2)t^2.$




二维码

扫码加我 拉你入群

请注明:姓名-公司-职位

以便审核进群资格,未注明则拒绝

2020-6-19 16:13:35
2020年各高校曲线积分试题
1.png

解:由于在$(0,1)$点,被积函数领导数不连续,故在$L$上不能应用格林公式计算,先作一个包围$(0,1)$的小圆$C$,取半径足够小,使之包含在$L$中。
                               $C:x^2+(y-1)^2=\varepsilon^2,(\varepsilon > 0)$

             再利用格林公式
                                $\begin{align*}I&=\oint_L=\oint_{L-C}+\oint_C\\\\&=0+\oint_C\\\\&=\frac{1}{\varepsilon ^2}\oint_Cxdy-(y-1)dx\\\\&=\frac{1}{\varepsilon ^2}\iint_D(1+1)dxdy\\\\&=\frac{2}{\varepsilon ^2}\cdot \pi\varepsilon ^2=2\pi.
\end{align*}$





二维码

扫码加我 拉你入群

请注明:姓名-公司-职位

以便审核进群资格,未注明则拒绝

2020-6-19 16:14:07
2020年各高校曲线积分试题
2.png

解:
                                         $\displaystyle \because \frac{\partial Q}{\partial x}=\frac{y}{x^2}+1=\frac{\partial P}{\partial y},$

                     所以,积分与路径无关。可添加中间点$C(3,1),$有

                                        $\displaystyle \int_L=\int_{AC}+\int_{CB}=\int_{(1,1)}^{(3,1)}(\frac{1}{2x^2}+1)dx-\int_{(3,1)}^{(3,3)}(\frac{y}{3}+3)dy=-\frac{15}{3}.$





二维码

扫码加我 拉你入群

请注明:姓名-公司-职位

以便审核进群资格,未注明则拒绝

2020-6-19 16:14:39
2020年各高校曲线积分试题
3.png


此题与162楼解法相同,值也一样。
二维码

扫码加我 拉你入群

请注明:姓名-公司-职位

以便审核进群资格,未注明则拒绝

2020-6-19 16:15:09
2020年各高校曲线积分试题
4.png

证明:
                  令
                                             $\displaystyle z=f(x,y),$
                            则
                                              $\displaystyle dz=\frac{\partial f}{\partial x}dx+\frac{\partial f}{\partial y}dy,$

                             运用格林公式,得
                                              $\begin{align*} \oint_LR(x,y,z)dz&=\oint R\frac{\partial f}{\partial x}dx+R\frac{\partial f}{\partial y}dy\\\\&=\iint_{\partial D} (\frac{\partial R}{\partial x}\frac{\partial f}{\partial y}-\frac{\partial R}{\partial y}\frac{\partial f}{\partial x})dxdy,\end{align*}$

                由$z=f(x,y),$,可知其方向数和方向余弦分别为
                                              $\displaystyle (-z_x,-z_y,1),(\cos\alpha ,\cos\beta ,\cos\gamma ),$

                          同时可得
                                              $\displaystyle \frac{\partial z}{\partial x}=\frac{\partial f}{\partial x}=-\frac{\cos\alpha }{\cos \gamma },\frac{\partial z}{\partial y}=\frac{\partial f}{\partial y}=-\frac{\cos\beta  }{\cos \gamma },$

                                              $\displaystyle dydz=\cos\alpha dS,dzdx=\cos \beta dS,dxdy=\cos \gamma dS,$

                          因此
                                              $\begin{align*}\oint_LR(x,y,z)dz&=\iint_{\Sigma} (\frac{\partial R}{\partial x}\frac{\partial f}{\partial y}-\frac{\partial R}{\partial y}\frac{\partial f}{\partial x})dxdy\\\\&=\iint_{\Sigma} (-\frac{\partial R}{\partial x}\cos\beta +\frac{\partial R}{\partial y}\cos\alpha )\frac{dxdy}{\cos\gamma }\\\\&=\iint_{\Sigma} (-\frac{\partial R}{\partial x}\cos\beta +\frac{\partial R}{\partial y}\cos\alpha )dS\\\\&=\iint_{\Sigma}\frac{\partial R}{\partial y}dydz-\frac{\partial R}{\partial x}dydx.\end{align*}$




二维码

扫码加我 拉你入群

请注明:姓名-公司-职位

以便审核进群资格,未注明则拒绝

2020-6-19 16:15:37
2020年各高校曲线积分试题
5.png


参见138楼

二维码

扫码加我 拉你入群

请注明:姓名-公司-职位

以便审核进群资格,未注明则拒绝

2020-6-19 16:16:09
2020年各高校曲线积分试题
6.png

解:先用Stokes公式,再用高斯公式计算

                           $\displaystyle P=y^2+z^2,Q=z^2+y^2,R=x^2+y^2,$

                           $\displaystyle \frac{\partial R}{\partial y}-\frac{\partial Q}{\partial z}=2y-2z,\frac{\partial P}{\partial z}-\frac{\partial R}{\partial x}=2z-2x,\frac{\partial Q}{\partial x}-\frac{\partial P}{\partial y}=2x-2y,$

                           $\begin{align*}\oint_L&=\iint_\Sigma(\frac{\partial R}{\partial y}-\frac{\partial Q}{\partial z})dydz+(\frac{\partial P}{\partial z}-\frac{\partial R}{\partial x})dzdx+(\frac{\partial Q}{\partial x}-\frac{\partial P}{\partial y})dxdy\\\\&=2\iint_\Sigma(y-z)dydz+(z-x)dzdx+(x-y)dxdy\\\\&=\iiint_\Omega 0dV\\\\&=0.\end{align*}$


二维码

扫码加我 拉你入群

请注明:姓名-公司-职位

以便审核进群资格,未注明则拒绝

2020-6-19 20:08:24
2020年各高校曲线积分试题
1.png

解:同楼上解法
                          $\displaystyle P=y^2-z^2,Q=x^2-z^2,R=x^2-y^2,\\\\
\displaystyle \frac{\partial R}{\partial y}-\frac{\partial Q}{\partial z}=-2y+2z,\frac{\partial P}{\partial z}-\frac{\partial R}{\partial x}=-2z-2x,\frac{\partial Q}{\partial x}-\frac{\partial P}{\partial y}=2x-2y,\\\\
\begin{align*}\oint_L&=\iint_\Sigma(\frac{\partial R}{\partial y}-\frac{\partial Q}{\partial z})dydz+(\frac{\partial P}{\partial z}-\frac{\partial R}{\partial x})dzdx+(\frac{\partial Q}{\partial x}-\frac{\partial P}{\partial y})dxdy\\\\&=2\iint_\Sigma(-y+z)dydz+(-z-x)dzdx+(x-y)dxdy\\\\&=2\iiint_\Omega 0dV\\\\&=0.\end{align*}$



二维码

扫码加我 拉你入群

请注明:姓名-公司-职位

以便审核进群资格,未注明则拒绝

2020-6-19 20:09:05
2020年各高校曲线积分试题
2.png

此题解法与162楼也类似。只是将圆改为椭圆。

二维码

扫码加我 拉你入群

请注明:姓名-公司-职位

以便审核进群资格,未注明则拒绝

2020-6-19 20:09:41
2020年各高校曲线积分试题
3.png

解:   
                               $\displaystyle P=e^x(1-\cos y),Q=-e^x(y-\sin y)\\\\
\displaystyle \frac{\partial Q}{\partial x}=-e^x(y-\sin y),\frac{\partial P}{\partial y}=e^x\sin y,\\\\
\displaystyle \frac{\partial Q}{\partial x}-\frac{\partial P}{\partial y}=ye^x,\\\\
\begin{align*}\oint _L&=\iint_Dye^xdxdy=\int_{0}^{\pi} e^x dx\int_{0}^{\sin x}y dy\\\\&=\frac{1}{2}\int_{0}^{\pi}e^x\sin^2xdx\\\\&=\frac{1}{2}\cdot e^x\sin^2x|_0^{\pi}-\frac{1}{2}\int_{0}^{\pi}e^x\sin2xdx\\\\&=\int_{0}^{\pi}e^x\cos2xdx\\\\&=e^x\cos2x|_0^{\pi}-2\int_{0}^{\pi}e^x\sin2xdx.\end{align*}\\\\
\displaystyle \Rightarrow \int_{0}^{\pi}e^x\sin2xdx=\frac{2}{3}\cdot (-e^{\pi}-1).\\\\
\displaystyle \therefore \oint _L=\frac{2}{3}\cdot (-e^{\pi}-1).$



二维码

扫码加我 拉你入群

请注明:姓名-公司-职位

以便审核进群资格,未注明则拒绝

2020-6-19 20:10:24
2020年各高校曲线积分试题
4.png

解:作一圆
                     $C:x^2+y^2=\varepsilon ^2,(\varepsilon > 0)$

      再利用格林公式

                      $\begin{align*}\oint_L&=\oint_{L-C}+\oint _C=0+\oint _C\\\\&=\frac{1}{\varepsilon ^4}\oint _Cy^3dx-xy^2dy\\\\&=\frac{1}{\varepsilon ^4}\iint_D(-y^2-3y^2)dxdy\\\\&=\frac{-4}{\varepsilon ^4}\int_{0}^{2\pi}\cos^2\theta d\theta \int_{0}^{\varepsilon }r^2\cdot rdr\\\\&=-\int_{0}^{2\pi}\cos^2\theta d\theta\\\\&=-\int_{0}^{2\pi}\frac{\cos2\theta +1}{2}d\theta \\\\&=-\pi.\end{align*}$

二维码

扫码加我 拉你入群

请注明:姓名-公司-职位

以便审核进群资格,未注明则拒绝

2020-6-29 07:54:54
重庆大学2020年数学分析试题
1.png

【解法一】:直接利用高斯公式计算$$\iint_Szdxdy=\iiint_\Omega dV=\frac{4}{3}\pi.$$


【解法二】:直接计算
                               $\begin{align*}\iint_Szdxdy&=2\iint_{D_{xy}}\sqrt{1-x^2-y^2}dxdy\\\\&=2\int_{0}^{2\pi}d\theta \int_{0}^{1}\sqrt{1-r^2}rdr\\\\&=-4\pi\cdot \frac{1}{3}(1-r^2)^{\frac{3}{2}}|_0^1\\\\&=\frac{4}{3}\pi.\end{align*}$






                       
二维码

扫码加我 拉你入群

请注明:姓名-公司-职位

以便审核进群资格,未注明则拒绝

2020-6-29 07:55:24
重庆大学2020年数学分析试题
2.png

解:
            由对称性知$$\int_Lx^2ds=\int_Ly^2ds=\int_Lz^2ds=\frac{1}{3}\int_L(x^2+y^2+z^2)ds=\frac{a^2}{3}\int_Lds=\frac{2}{3}\pi a^3.$$






                              
二维码

扫码加我 拉你入群

请注明:姓名-公司-职位

以便审核进群资格,未注明则拒绝

2020-6-30 15:13:21
微信图片_20200630151101.jpg

二维码

扫码加我 拉你入群

请注明:姓名-公司-职位

以便审核进群资格,未注明则拒绝

2020-7-2 20:09:44
南昌大学2020年数学分析真题
1.png

解:1、
               $\displaystyle\lim_{n \to \infty }\sqrt[n]{2+\cos^2n}=\lim_{n \to \infty }\sqrt[n]{2}\cdot \sqrt[n]{1+\frac{\cos^2n}{2}}=1.$

       2、
               $\displaystyle\lim_{x \to 1}\frac{1-\sin^2\frac{\pi}{6}x}{1-x^2}=\lim_{x \to 1}\frac{-\frac{\pi}{6}\cdot 2\cos\frac{\pi x}{6}\sin\frac{\pi x}{6}}{-2x}=\frac{\pi}{6}\cdot \frac{\sqrt{3}}{2}\cdot \frac{1}{2}=\frac{\sqrt{3}\pi}{24}.$


       3、
               $\begin{align*}\int x^2\cos xdx&=x^2\sin x-\int 2x\sin xdx\\\\&=x^2\sin x+2x\cos x-2\int \cos xdx\\\\&=x^2\sin x+2x\cos x-2\sin x. \end{align*}$  


     4、
                $\begin{align*}\lim_{n \to \infty }\sum_{n=1}^{n}\frac{k}{n^3}\sqrt{n^2-k^2}&=\lim_{n \to \infty }\sum_{n=1}^{n}\frac{k}{n^2}\sqrt{1-(\frac{k}{n})^2}\\\\&=\int_{0}^{1}x\sqrt{1-x^2}dx\\\\&=-\frac{1}{3}(1-x^2)^{\frac{3}{2}}|_0^1\\\\&=\frac{1}{3}.\end{align*}$


二维码

扫码加我 拉你入群

请注明:姓名-公司-职位

以便审核进群资格,未注明则拒绝

2020-7-2 20:55:14
南昌大学2020年数学分析真题
1.png

解:
              作变量变换,令
                                         $u=x+y,v=x-y,$
                       则
                                        $x=\frac{1}{2}(u+v),y=\frac{1}{2}(u-v),\\
D\Rightarrow D':0\leq u\leq 1,0\leq v\leq 1,|J|=\frac{1}{2}.\\$
                    因此有         
                            $\begin{align*}I&=\iint_{D} \frac{(x+y)^2}{1+(x-y)^2}dxdy=\frac{1}{2}\iint_{D'} \frac{u^2}{1+v^2}dudv\\\\&=\frac{1}{2}\int_{0}^{1}u^2du\int_{0}^{1}\frac{1}{1+v^2}dv\\\\&=\frac{\pi}{24}.\end{align*}$

         



二维码

扫码加我 拉你入群

请注明:姓名-公司-职位

以便审核进群资格,未注明则拒绝

2020-7-2 20:55:59
南昌大学2020年数学分析真题
2.png

解:
                 添加直线:$\overrightarrow{BA},$使之与上半圆组成一个闭合区域$L$,并对此用格林公式。

                由
                               $P=-2xe^{-x^2}\sin y,Q=e^{-x^2\cos y}+x^4,\\
\frac{\partial Q}{\partial x}=-2xe^{-x^2}\cos y+4x^3,\frac{\partial P}{\partial y}=-2xe^{-x^2}\cos y,\\$
                则
                                 $\begin{align*}I&=\int_C=\oint_L-\int_{\overrightarrow{AB}}\\\\&=\iint_D4x^3dxdy-0\\\\&=8\int_{0}^{\pi/2}\cos^3tdt\int_{0}^{1}r^4dr\\\\&=\frac{8}{5}\int_{0}^{\pi/2}\cos^3tdt\\\\&=\frac{8}{5}(\sin t-\frac{1}{3}\sin^3t)|_0^{\pi/2}\\\\&=\frac{16}{15}.\end{align*}$


二维码

扫码加我 拉你入群

请注明:姓名-公司-职位

以便审核进群资格,未注明则拒绝

2020-7-2 20:56:37
南昌大学2020年数学分析真题
3.png

解:添加2个平面$L_1:z=1$,方向向上,$L_2:z=2.$方向向下,则$S+L_1+L_2$为讨债曲面。利用高斯公式$$I=\iint_S=\iint_{S+L_1+L_2}-\iint_{L_1} (x^2-1)dxdy+\iint_{L_2} (x^2-2)dxdy,$$

                                       $\displaystyle \iint_{S+L_1+L_2}=\iiint -3dV=-3\pi.$

                                       $\displaystyle \iint_{L_1} (x^2-1)dxdy=\int_{0}^{2\pi}dt\int_{0}^{1}(r^2\cos^2t-1)rdr=-\frac{3}{2}\pi.$

                                        $\displaystyle \iint_{L_2} (x^2-2)dxdy=\int_{0}^{2\pi}dt\int_{0}^{2}(r^2\cos^2t-1)rdr=0.$

                                        $\displaystyle \therefore I=-3\pi+\frac{3}{2}\pi+0=-\frac{3\pi}{2}.$




二维码

扫码加我 拉你入群

请注明:姓名-公司-职位

以便审核进群资格,未注明则拒绝

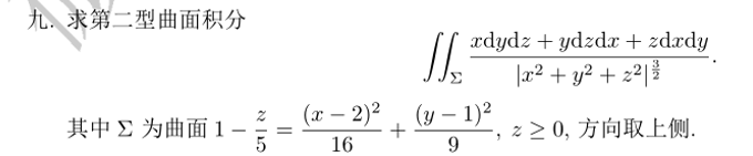
2020-7-4 19:51:52
东北师范大学2020年考研试题
1.png

解:
      (1)、
                   $\displaystyle \lim_{n \to \infty }\frac{1}{n}\sum_{k=1}^{n}\sqrt{1+\frac{k}{n}}=\int_{0}^{1}\sqrt{1+x}dx=\frac{2}{3}\cdot (1+x)^{\frac{3}{2}}|_0^1=\frac{2}{3}(2\sqrt{2}-1).$

       (2)、
               $\displaystyle \because (1+\frac{1}{n^2+1}+\cdots +\frac{1}{n^2+n})^n\geq (1+\frac{n}{n^2+n})^n=(1+\frac{1}{n+1})^n=(1+\frac{1}{n+1})^{(n+1)\cdot \frac{n}{n+1}}=e,(n \to \infty )$

                $\displaystyle (1+\frac{1}{n^2+1}+\cdots +\frac{1}{n^2+n})^n\leq (1+\frac{n}{n^2+1})^n=(1+\frac{n}{n^2+1})^{\frac{n^2+1}{n}\cdot \frac{n^2}{n^2+1}}=e,(n \to \infty )$

                $\displaystyle \therefore \lim_{n \to \infty }(1+\frac{1}{n^2+1}+\cdots +\frac{1}{n^2+n})^n=e.$

      (3)、
                   $=0.$

      (4)、
                 $\begin{align*}\lim_{(x,y)\to(0,0)}\frac{\sin(x^3+y^3)}{x^2+y^2}&=\lim_{(x,y)\to(0,0)}\frac{x^3+y^3}{x^2+y^2}\\\\&=\lim_{(x,y)\to(0,0)}\frac{(x+y)(x^2-xy+y^2)}{x^2+y^2}\\\\&=\lim_{(x,y)\to(0,0)}(x+y)\\\\&=0.\end{align*}$   
                 

       (5)、
                 $\displaystyle \lim_{x\to 0}\frac{1-\cos x}{x\ln(1+\sin x)}=\lim_{x\to 0}\frac{\frac{1}{2}x^2}{x\sin x}=\lim_{x\to 0}\frac{\frac{1}{2}x^2}{x^2}=\frac{1}{2}.$


二维码

扫码加我 拉你入群

请注明:姓名-公司-职位

以便审核进群资格,未注明则拒绝

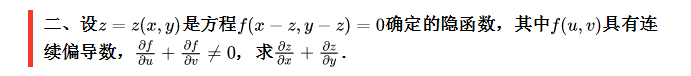
2020-7-4 19:52:25
东北师范大学2020年考研试题
2.png
解:
         利用隐函数求导
                                 $\frac{\partial f}{\partial u}-\frac{\partial f}{\partial v}\frac{\partial v}{\partial z}\frac{\partial z}{\partial x}-\frac{\partial f}{\partial u}\frac{\partial u}{\partial z}\frac{\partial z}{\partial x}=0,$

                                 $\frac{\partial f}{\partial v}-\frac{\partial f}{\partial v}\frac{\partial v}{\partial z}\frac{\partial z}{\partial y}-\frac{\partial f}{\partial u}\frac{\partial u}{\partial z}\frac{\partial z}{\partial y}=0,$

                                 $\therefore \frac{\partial z}{\partial x}+\frac{\partial z}{\partial y}=\frac{\frac{\partial f}{\partial u}+\frac{\partial f}{\partial v}}{\frac{\partial f}{\partial v}\frac{\partial v}{\partial z}+\frac{\partial f}{\partial u}\frac{\partial u}{\partial z}}.$


二维码

扫码加我 拉你入群

请注明:姓名-公司-职位

以便审核进群资格,未注明则拒绝

栏目导航
热门文章
推荐文章

说点什么

分享

扫码加好友,拉您进群
各岗位、行业、专业交流群