经管之家App
让优质教育人人可得
立即打开
全部版块
我的主页
›
论坛
›
数据科学与人工智能
›
数据分析与数据科学
›
R语言论坛
R进行主成分分析的疑惑
楼主
热心市民金先生
913
2
收藏
2020-03-31
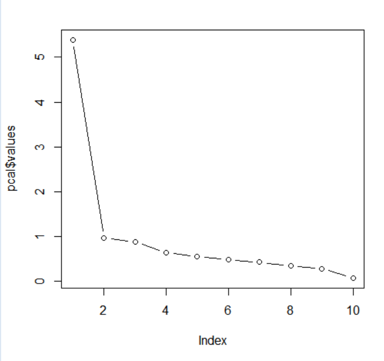
用R进行主成分分析得到了图表,但是对其中存在疑惑。1、表格中累计贡献率到PC5才勉强85%,但图又显示只有两个主成分因子,这算是矛盾吗?应该遵循哪一个? 2、分析出主成分因子后接下来还需要进行回归,这就需要把因子作为新变量引入,请问R代码应该如何操作?(或者说从图中能不能看出来因子F=B1x1+B2x2……之类的)
附件列表
9UI1RF4QP[RT95[]W7T(I1W.png
原图尺寸 23.45 KB
9]4@SZAJS`91IE4M4($R])U.png
原图尺寸 72.92 KB
扫码加我 拉你入群
请注明:姓名-公司-职位
以便审核进群资格,未注明则拒绝
全部回复
沙发
热心市民金先生
2020-3-31 21:30:46
R新手一枚 希望各位大佬不吝赐教 救救孩子吧
扫码加我 拉你入群
请注明:姓名-公司-职位
以便审核进群资格,未注明则拒绝
藤椅
Reversero
2020-5-9 16:11:58
主成分的取舍本来就没有太强硬的限制,碎石图给的是每个主成分解释的方差,相当于结果的第一行,你看的累积方差是第三行
扫码加我 拉你入群
请注明:姓名-公司-职位
以便审核进群资格,未注明则拒绝
栏目导航
R语言论坛
博弈论
会计与财务管理
经管类求职与招聘
经管在职研
爱问频道
热门文章
精准匹配,菁英相伴--经管之家单身俱乐部, ...
科研时间70%耗在“下载-复制-粘贴”?零代码 ...
我该如何记住你?智能体记忆系统的演化之路
CDA数据分析脱产就业班于2026年3月7日开班! ...
CDA 认证考试大纲 2025 重磅更新:一二级考 ...
表格结构数据的核心特征及具象实例解析
伍德里奇计量经济学导论第六版教材PDF
2026年Agent领域十大趋势判断
湖南统计年鉴2025(Excel版)
中外历史年代对照表
推荐文章
2026JG学术冬训营:从Stata初高到Python机器 ...
【必看】【本版版规,欢迎发悬赏贴求助】
26年寒假天津站|Gemini论文写作&数据分析 ...
关于如何利用文献的若干建议
关于学术研究和论文发表的一些建议
关于科研中如何学习基础知识的一些建议 (一 ...
一个自编的经济学建模小案例 --写给授课本科 ...
AI智能体赋能教学改革: 全国AI教育教学应用 ...
2025中国AIoT产业全景图谱报告-406页
关于文献求助的一些建议
说点什么
分享
微信
QQ空间
QQ
微博
扫码加好友,拉您进群
各岗位、行业、专业交流群