经管之家App
让优质教育人人可得
立即打开
全部版块
我的主页
›
论坛
›
提问 悬赏 求职 新闻 读书 功能一区
›
学道会
【学习笔记】滴,大物+数学作业卡
楼主
小山妖
343
0
收藏
2020-04-04
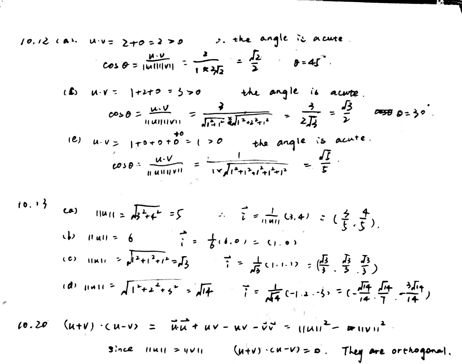
滴,大物+数学作业卡
扫码加我 拉你入群
请注明:姓名-公司-职位
以便审核进群资格,未注明则拒绝
相关推荐
【学习笔记】9.4总结
【学习笔记】优质学习内容推荐——1004-2
【学习笔记】打卡第七天
【学习笔记】签到
【学习笔记】打卡
栏目导航
学道会
金融学(理论版)
数据求助
马克思主义经济学
宏观经济学
数据分析与数据挖掘
热门文章
你的SSCI发表焦虑,AI真的能懂吗?——一篇 ...
CDA考试模拟题库:新增章节练习题(更新于1 ...
CDA数据分析脱产就业班于2025年08月02日开班 ...
【AI Agent可靠性】 智能体Agent记忆系统: ...
全球数字经贸规则年度观察报告(2025年)
《以日为鉴》阅读分享
2025骑行配件出海研究报告
Modern Computer Algebra
Matrix Algebra-James E·Gentle
河南话破圈:从“土味方言”到“潮流符号” ...
推荐文章
AI狂潮席卷学术圈,不会编程也能打造专属智 ...
10月重磅来袭|《打造Coze/Dify专属学术智能 ...
最快1年拿证,学费不足5W!热门美国人工智能 ...
关于如何利用文献的若干建议
关于学术研究和论文发表的一些建议
关于科研中如何学习基础知识的一些建议 (一 ...
一个自编的经济学建模小案例 --写给授课本科 ...
AI智能体赋能教学改革: 全国AI教育教学应用 ...
2025中国AIoT产业全景图谱报告-406页
关于文献求助的一些建议
说点什么
分享
微信
QQ空间
QQ
微博
扫码加好友,拉您进群
各岗位、行业、专业交流群