经管之家App
让优质教育人人可得
立即打开
全部版块
我的主页
›
论坛
›
提问 悬赏 求职 新闻 读书 功能一区
›
学道会
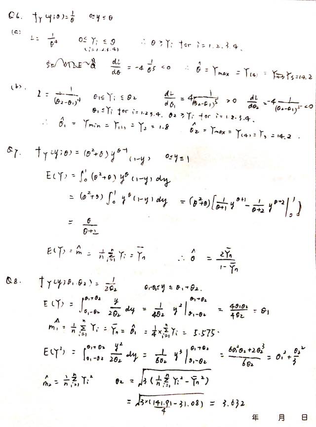
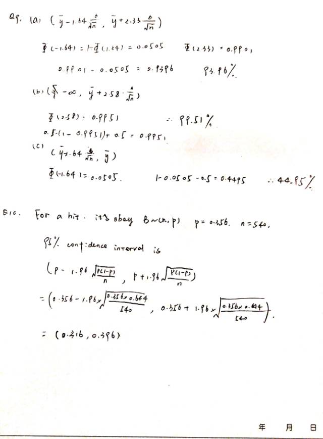
【学习笔记】数理统计卡
楼主
小山妖
379
1
收藏
2020-04-06
数理统计卡
附件列表
tmp_a3fdf233d065c7cb740bb009d2765d4b222ba5a2fc0bee63.jpg
原图尺寸 51.8 KB
扫码加我 拉你入群
请注明:姓名-公司-职位
以便审核进群资格,未注明则拒绝
全部回复
沙发
tianwk
2020-4-6 22:17:16
thanks for sharing
扫码加我 拉你入群
请注明:姓名-公司-职位
以便审核进群资格,未注明则拒绝
相关推荐
【学习笔记】数理统计部分知识笔记
【学习笔记】陈家鼎 数理统计学讲义
【学习笔记】滴,数理统计卡
【学习笔记】写完一本了……数理统计……估计还得一本
【学习笔记】数理统计测试
【学习笔记】数理统计第三天,今晚要好好复习一下,好多东西都没记住。
【学习笔记】周末数理统计复习打卡
【学习笔记】数理统计预习
【学习笔记】数理统计第三天,难。
【学习笔记】概率论茆诗松版课件数理统计部分
栏目导航
学道会
行业分析报告
经管在职研
哲学与心理学版
真实世界经济学(含财经时事)
金融学(理论版)
热门文章
科研时间70%耗在“下载-复制-粘贴”?零代码 ...
精准匹配,菁英相伴--经管之家单身俱乐部, ...
CDA 认证考试大纲 2025 重磅更新:一二级考 ...
我该如何记住你?智能体记忆系统的演化之路
2026年Agent领域十大趋势判断
低空经济发展报告(2025-2026)
202601-中国智能驾驶行业趋势白皮书
油罐车加油系统,全球前10强生产商排名及市 ...
现代数学基础 现代极限理论及其在随机结构中 ...
无上高明的“无为”“无住”哲学在传统中国
推荐文章
2026JG学术冬训营:从Stata初高到Python机器 ...
【必看】【本版版规,欢迎发悬赏贴求助】
26年寒假天津站|Gemini论文写作&数据分析 ...
关于如何利用文献的若干建议
关于学术研究和论文发表的一些建议
关于科研中如何学习基础知识的一些建议 (一 ...
一个自编的经济学建模小案例 --写给授课本科 ...
AI智能体赋能教学改革: 全国AI教育教学应用 ...
2025中国AIoT产业全景图谱报告-406页
关于文献求助的一些建议
说点什么
分享
微信
QQ空间
QQ
微博
扫码加好友,拉您进群
各岗位、行业、专业交流群