全部版块 我的主页
论坛 提问 悬赏 求职 新闻 读书 功能一区 悬赏大厅
14875 5
2020-04-11
悬赏 50 个论坛币 未解决
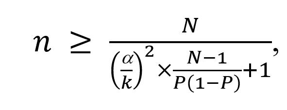
在吴明隆老师的《问卷统计分析实务——SPSS操作与应用》中找到这条样本量计算公式(下图),但是SCI需要引用来源,请问有没有外文的文献有这条公式?万分感谢。

样本量计算公式.jpg

原图尺寸 8.99 KB

样本量计算公式.jpg

二维码

扫码加我 拉你入群

请注明:姓名-公司-职位

以便审核进群资格,未注明则拒绝

全部回复
2020-4-13 11:16:00
我记得抽样统计这本书中针对不同的抽样方法给出了不同的样本量公式,你可以看看那本书上是不是有该公式
二维码

扫码加我 拉你入群

请注明:姓名-公司-职位

以便审核进群资格,未注明则拒绝

2020-4-13 15:03:50
小乌龟824 发表于 2020-4-13 11:16
我记得抽样统计这本书中针对不同的抽样方法给出了不同的样本量公式,你可以看看那本书上是不是有该公式
您好,请问这本书名叫什么,直接搜“抽样统计”并未找到
二维码

扫码加我 拉你入群

请注明:姓名-公司-职位

以便审核进群资格,未注明则拒绝

2020-4-15 19:45:21
参考文献可以直接写:
Wu, M. (2009). Wenjuan tongji fenxi shiwu: SPSS caozuo yu yingyong. Chongqing: Chongqing University Press. (in Chinese)
二维码

扫码加我 拉你入群

请注明:姓名-公司-职位

以便审核进群资格,未注明则拒绝

2020-5-22 14:41:22
jynikita 发表于 2020-4-11 16:58
在吴明隆老师的《问卷统计分析实务——SPSS操作与应用》中找到这条样本量计算公式(下图),但是SCI需要引用 ...
这个公式在第几页
二维码

扫码加我 拉你入群

请注明:姓名-公司-职位

以便审核进群资格,未注明则拒绝

2021-6-7 10:16:09
那安室惠美 发表于 2020-5-22 14:41
这个公式在第几页
这本书的第59页有
二维码

扫码加我 拉你入群

请注明:姓名-公司-职位

以便审核进群资格,未注明则拒绝

栏目导航
热门文章
推荐文章

说点什么

分享

扫码加好友,拉您进群
各岗位、行业、专业交流群