全部版块 我的主页
论坛 数据科学与人工智能 数据分析与数据科学 SAS专版
727 2
2020-04-15
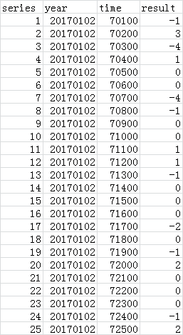
直接上图。

(1)源数据这样
源数据.png


(2)希望转置成这样
想要的结果.png

(3)注意
series每行都要求转置
转置为每行之后5个result列的数据

谢谢大哥!


二维码

扫码加我 拉你入群

请注明:姓名-公司-职位

以便审核进群资格,未注明则拒绝

全部回复
2020-4-17 09:24:55
data test;
   input series result;
cards;
1 -1
2 3
3 -4
4 1
5 0
;
run;

data want;
   array re[5];
   do i=1 to n;
      set test nobs=n;
      do j=1 to 5;
         p=i+j-1;
         set test(keep=result rename=(result=re0)) point=p;
         if p<=n then re[j]=re0;
         else call missing(re[j]);
      end;
      output;
   end;
   drop i j re0;
run;

proc print;run;
二维码

扫码加我 拉你入群

请注明:姓名-公司-职位

以便审核进群资格,未注明则拒绝

2020-4-17 11:27:02
看样子是要算rolling window的什么东西?可以尝试 proc expand 计算相关的统计量。
二维码

扫码加我 拉你入群

请注明:姓名-公司-职位

以便审核进群资格,未注明则拒绝

栏目导航
热门文章
推荐文章

说点什么

分享

扫码加好友,拉您进群
各岗位、行业、专业交流群