经管之家App
让优质教育人人可得
立即打开
全部版块
我的主页
›
论坛
›
世界经济与国际贸易 八区
›
世界经济与国际贸易
产业内贸易类型判断的kandogan细分法公式疑问
楼主
求教求教
2014
1
收藏
2020-04-18
悬赏
10
个论坛币
未解决
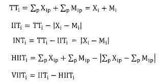
想请大家帮忙看看这个kandogan细分法的公式是不是有问题啊?
我看了好多篇论文公式都是这样,还算出了结果,可我怎么算那个水平型产业内贸易指数HIIT都和总的IIT是一样的呀!
本来想用GHM法判断类型的,无奈找不到进出口数量,好不容易看到个这个方法不需要知道进出口数量,结果还是搞不出来!
我太难了
求大佬帮忙啊!
360截图16380514345593.jpg
原图尺寸 8.77 KB
扫码加我 拉你入群
请注明:姓名-公司-职位
以便审核进群资格,未注明则拒绝
全部回复
沙发
13526673228
2021-3-2 16:13:39
请问你的问题解决了吗?我的也是这样
扫码加我 拉你入群
请注明:姓名-公司-职位
以便审核进群资格,未注明则拒绝
栏目导航
世界经济与国际贸易
R语言论坛
计量经济学与统计软件
数据交流中心
学术道德监督
行业分析报告
热门文章
精准匹配,菁英相伴--经管之家单身俱乐部, ...
科研时间70%耗在“下载-复制-粘贴”?零代码 ...
我该如何记住你?智能体记忆系统的演化之路
CDA数据分析脱产就业班于2026年3月7日开班! ...
CDA 认证考试大纲 2025 重磅更新:一二级考 ...
表格结构数据的核心特征及具象实例解析
伍德里奇计量经济学导论第六版教材PDF
2026年Agent领域十大趋势判断
湖南统计年鉴2025(Excel版)
中外历史年代对照表
推荐文章
2026JG学术冬训营:从Stata初高到Python机器 ...
【必看】【本版版规,欢迎发悬赏贴求助】
26年寒假天津站|Gemini论文写作&数据分析 ...
关于如何利用文献的若干建议
关于学术研究和论文发表的一些建议
关于科研中如何学习基础知识的一些建议 (一 ...
一个自编的经济学建模小案例 --写给授课本科 ...
AI智能体赋能教学改革: 全国AI教育教学应用 ...
2025中国AIoT产业全景图谱报告-406页
关于文献求助的一些建议
说点什么
分享
微信
QQ空间
QQ
微博
扫码加好友,拉您进群
各岗位、行业、专业交流群