全部版块 我的主页
论坛 数据科学与人工智能 数据分析与数据科学 R语言论坛
6888 6
2020-04-27
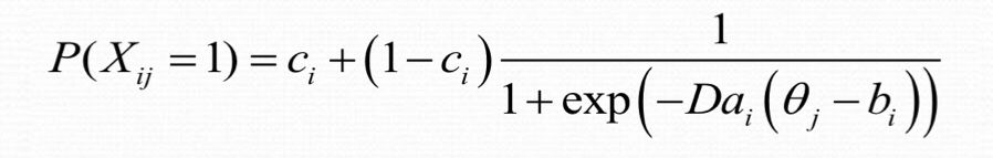
想问一下 R语言应该怎么画项目特征曲线啊?给定了a=1,b=1,c=0,我感觉应该就是 套plot函数进行绘图。但是我不知道项目特征函数应该怎么表示,我想画logisitic模型。图片就是函数,总的来说就是画出下面这个函数的图。请大佬们帮帮忙
函数
二维码

扫码加我 拉你入群

请注明:姓名-公司-职位

以便审核进群资格,未注明则拒绝

全部回复
2020-4-28 08:06:59
p <- function( theta, a=1, b=1, c=0, D=1.7){
c + (1-c) / (1 + exp(-D * a * (theta - b)))
}
curve(expr=p,-3,3,xname="theta")
二维码

扫码加我 拉你入群

请注明:姓名-公司-职位

以便审核进群资格,未注明则拒绝

2020-4-28 15:30:10
llb_321 发表于 2020-4-28 08:06
p
请问如果abc有三组值,也就是有三根曲线,我要怎么画到同一个图里面啊
二维码

扫码加我 拉你入群

请注明:姓名-公司-职位

以便审核进群资格,未注明则拒绝

2020-4-28 15:30:14
llb_321 发表于 2020-4-28 08:06
p
请问如果abc有三组值,也就是有三根曲线,我要怎么画到同一个图里面啊
二维码

扫码加我 拉你入群

请注明:姓名-公司-职位

以便审核进群资格,未注明则拒绝

2020-4-28 15:44:17
鸭鸭66 发表于 2020-4-28 15:30
请问如果abc有三组值,也就是有三根曲线,我要怎么画到同一个图里面啊
已经画出来了,谢谢你
二维码

扫码加我 拉你入群

请注明:姓名-公司-职位

以便审核进群资格,未注明则拒绝

2020-6-3 19:38:01
你好请问你是怎么画的呀
二维码

扫码加我 拉你入群

请注明:姓名-公司-职位

以便审核进群资格,未注明则拒绝

点击查看更多内容…
栏目导航
热门文章
推荐文章

说点什么

分享

扫码加好友,拉您进群
各岗位、行业、专业交流群