
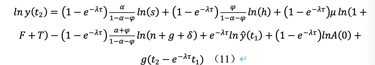
以上是我的模型做经济收敛,要求用STATA做系统GMM做动态面板数据估计。
请问以下的命令对不对?
xtabond2 lny l.lny lns lnf lnh lnn i.year, gmm(l.lny,lag(1 2)) twostep r
xtabond2 lny l.lny lns lnf lnh lnn i.year, gmm(l.lny,lag(1 2)) gmm(lns lnf lnh lnn lag(1 1)) twostep r
很多时候sargan和hansen都无法通过
问题2 这个模型的lns lnf lnh lnn是外生的是否说明我不能用这四个做gmm工具变量?
问题3 我应该找什么做gmm工具 哪个做iv工具?