经管之家App
让优质教育人人可得
立即打开
全部版块
我的主页
›
论坛
›
计量经济学与统计论坛 五区
›
计量经济学与统计软件
一个方程设计的问题
楼主
suly
1477
1
收藏
2010-08-19
悬赏
5
个论坛币
未解决
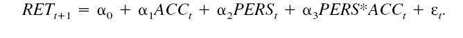
请看附件中PERS为方程中两个系数之差,回归方程的系数不是固定的数吗,只有一个值,怎么能作为一个自变量呢,附件中是外文原文的表格,发表在THE Accounting Review的一篇文章。谢谢各位
未命名.jpg
原图尺寸 108.88 KB
未命名2.jpg
原图尺寸 9.03 KB
扫码加我 拉你入群
请注明:姓名-公司-职位
以便审核进群资格,未注明则拒绝
全部回复
沙发
ermutuxia
2014-10-29 15:10:55
如果是面板数据,每个个体的t个时间点序列做一个回归,那么每个个体都会有一个回归方程,这样就可以计算系数平均值了
扫码加我 拉你入群
请注明:姓名-公司-职位
以便审核进群资格,未注明则拒绝
相关推荐
accounting review 2007第一期
Accounting Review目录(上、下)页码
Accounting Review目录(下)页码
求ACCOUNTING REVIEW文章一篇
顶级会计期刊 accounting review2010—2012
上传几篇The Accounting Review 2013年9月的文章,有几篇研究中国市场的
西安交大管院培养的博士发了 the accounting review
Accounting Review上的外文文献有没有中文版?
请问accounting review的审稿周期多久啊
the accounting review问题
栏目导航
计量经济学与统计软件
会计与财务管理
求助成功区
学术道德监督
行业分析报告
数据分析与数据科学
热门文章
表格结构数据的核心特征及具象实例解析
高教现代数学基础23 矩阵计算六讲 徐树方,钱 ...
安徽全省一盘棋发力汽车产业
【24顶刊热点!】2000-2024上市公司股价崩盘 ...
求Journal of Computational and Graphical ...
查找文献Digital mapping of soil organic ...
【自用整理,24更新!】1999-2024我国省级知识 ...
《技术的本质》epub版本
精准匹配,菁英相伴--经管之家单身俱乐部, ...
科研时间70%耗在“下载-复制-粘贴”?零代码 ...
推荐文章
2026JG学术冬训营:从Stata初高到Python机器 ...
【必看】【本版版规,欢迎发悬赏贴求助】
26年寒假天津站|Gemini论文写作&数据分析 ...
关于如何利用文献的若干建议
关于学术研究和论文发表的一些建议
关于科研中如何学习基础知识的一些建议 (一 ...
一个自编的经济学建模小案例 --写给授课本科 ...
AI智能体赋能教学改革: 全国AI教育教学应用 ...
2025中国AIoT产业全景图谱报告-406页
关于文献求助的一些建议
说点什么
分享
微信
QQ空间
QQ
微博
扫码加好友,拉您进群
各岗位、行业、专业交流群