经管之家App
让优质教育人人可得
立即打开
全部版块
我的主页
›
论坛
›
数据科学与人工智能
›
数据分析与数据科学
›
MATLAB等数学软件专版
求高手解matlab方程组
楼主
liran12345
1525
0
收藏
2010-10-26
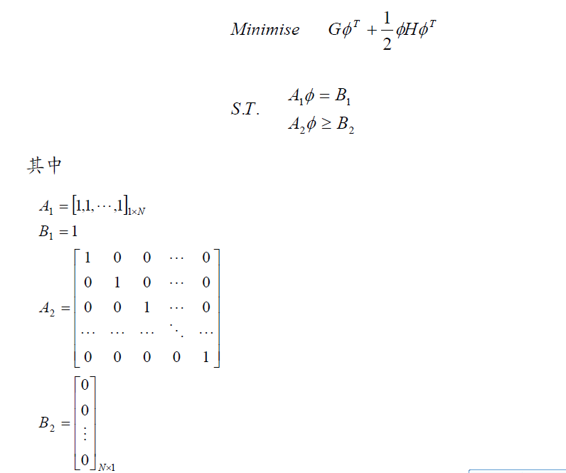
G是1*3矩阵 H是3*3矩阵 求fai
在此谢过
扫码加我 拉你入群
请注明:姓名-公司-职位
以便审核进群资格,未注明则拒绝
相关推荐
[转帖]Matlab 2007b BT&注册机.rar
[求助]不知道有没有这样用过matlab的?求助哇
如何用matlab求微积分方程
如何在matlab中提高所做图形的分辨率?
MATLAB做t分布分位数的问题
第1章 MATLAB操作基础.ppt
matlab训练集和测试集
大家谁会用matlab画散点图啊,求帮忙啊
matlab最新破解版安装包
matlab安装后打不开怎么办,求大神。
栏目导航
MATLAB等数学软件专版
经管类求职与招聘
案例库
金融学(理论版)
学道会
经管文库(原现金交易版)
热门文章
【10+指标】2007-2024年上市公司污染物排放 ...
【24重磅,自用整理!】2000-2024上市公司投资 ...
新宏观丨对刘元春关于新凯恩斯主义六点共识 ...
范撒普《实现财务自由的安全策略》
俄语–英语双语图解词典
量子科技行业深度报告:量子革命:量子科技 ...
export slowdown and increasing land supp ...
视频媒体:AI漫剧爆发在即,重视产业链机遇
达富发投资关于金力永磁行情操作数据分析及 ...
“十四五”能源发展成就报告
推荐文章
AI狂潮席卷学术圈,不会编程也能打造专属智 ...
10月重磅来袭|《打造Coze/Dify专属学术智能 ...
最快1年拿证,学费不足5W!热门美国人工智能 ...
关于如何利用文献的若干建议
关于学术研究和论文发表的一些建议
关于科研中如何学习基础知识的一些建议 (一 ...
一个自编的经济学建模小案例 --写给授课本科 ...
AI智能体赋能教学改革: 全国AI教育教学应用 ...
2025中国AIoT产业全景图谱报告-406页
关于文献求助的一些建议
说点什么
分享
微信
QQ空间
QQ
微博
扫码加好友,拉您进群
各岗位、行业、专业交流群