全部版块 我的主页
论坛 数据科学与人工智能 数据分析与数据科学 数据分析师(CDA)专版
1006 0
2020-08-14
CDA人工智能学院致力于以优质的人工智能在线教育资源助力学员的DT职业梦想!课程内容涵盖数据分析、机器学习、深度学习、人工智能、TensorFlow、PyTorch、知识图谱等众多核心技术及行业案例,让每一个学员都可以在线灵活学习,快速掌握AI时代的前沿技术。PS:私信我即可获取《银牌会员》1个月免费试听机会

作者 | George Liu

翻译 | Mika

如果你是一名数据科学方面的求职者,你肯定想知道在简历上写些什么才能获得面试的机会;如果你想进入这个领域,你一定想知道具备哪些技术才能成为一名有竞争力的求职者。

在本文中,我们对Indeed中一千份数据科学相关的招聘信息进行了分析,主要针对数据工程师、数据科学家和机器学习工程师这三个职位,希望能解答你的疑问。

首先,让我们来看看不同职位的技能要求。


一、必备语言


1. 目前Python处于主导地位

关于数据科学中的首选语言,究竟是Python还是R曾有过争论。显然,市场需求说明如今Python是处于主导地位。同样值得注意的是,R语言可能还排在SAS之后。因此,如果你打算进入数据科学领域,不妨把学习重点放在Python上。作为数据库语言,SQL是数据科学家第二重要的语言。由于数据科学家职业的广泛性,其他语言也扮演着重要角色。

数据科学家必备语言排名为:Python、SQL、Scala、Lua、Java、SAS、R、C ++和Matlab。


2. 机器学习工程师使用的语言更加多样化

Python是机器学习工程师的首选语言,这并不令人惊讶。机器学习工程师需要从头开始实现算法,并在大数据环境中部署ML模型,因此C ++和Scala等相关语言也很重要。总的来说,机器学习工程师使用的语言更加多样化。

机器学习工程师必备语言排名为:Python、Scala、Java、C ++、Lua、SQL、Javascript、Matlab、CSS和C#。


3. SQL 是数据工程师的必备技能

数据工程师一直都在于数据库打交道,而SQL是数据库语言,因此SQL是首选语言也就不足为奇了。同时Python也重要,但重要性排在Scala和Java之后,因为后者能够帮助数据工程师处理大数据。

数据工程师必备语言排名为:SQL、Scala、Java、Python和Lua。


4. Scala 逐渐成为数据科学中第二重要的语言(而不是R语言)

当我们研究分析不同职位时发现,Scala要么的重要性排在第二或第三。因此我们可以,数据科学领域中排名中前三的语言是Python、SQL和Scala。如果你打算学一门新语言,可以试试Scala。

20181214135433_21599.png

二、大数据技能

Spark是除数据工程师之外,最必备的大数据技能

仅对数据工程师而言,Hadoop比Spark更为重要。但总的来说,Spark绝对是应该首先学习的大数据框架。相对于数据科学家,Cassandra对工程师更为重要,而似乎只有数据工程师才需要用Storm。

数据科学领域必备的大数据技术排名为:Spark、Hadoop、Kafka、Hive。

20181214135517_76902.png

三、 深度学习框架

深度学习方面,TensorFlow 占主导地位

在数据工程师的招聘中很少提到深度学习框架,因此该职位可能不需要用到深度学习框架;在机器学习工程师招聘中,常常提到深度学习框架,这表明机器学习工程师需要常常处理机器学习建模,而不仅仅是模型部署。

此外,TensorFlow在深度学习领域绝对占据主导地位。尽管Keras作为高级深度学习框架在数据科学家中非常受欢迎,但对于机器学习工程师职位,很少要求要掌握Keras,这可能表明机器学习从业者大多使用较低级别的框架,如TensorFlow。

数据科学中要掌握的深度学习框架排名为:TensorFlow、Torch、Caffee和MXNet。

20181214135531_52808.png

四、云计算平台

AWS占据主导地位

20181214135611_50462.png

五、机器学习应用

机器学习方面计算机视觉是最主要的技能需求

对于一般数据科学家来说,机器学习最大的应用领域是自然语言处理,其次是计算机视觉、语音识别、欺诈检测和推荐系统。有趣的是,在机器学习工程师职位招聘中,最大的需求是计算机视觉,其次才是自然语言处理。

另一方面,机器学习方面数据工程师再次成为备受专注,然而这些机器学习应用领域与他们并没有关系。

如果想成为数据科学家,你可以想进入的领域,选择不同类型的项目来展现专业知识,但对于机器学习工程师来说,计算机视觉是最佳选择!

20181214135626_91337.png

六、可视化工具

Tableau是可视化方面的必备技能

在招聘中,数据科学家大多都要求需要掌握可视化工具,而很少要求数据工程师和机器学习工程师掌握。然而对以上每个职位来说,Tableau都是首选。对于数据科学家,Shiny、Matplotlib、ggplot和Seaborn都同样重要。

20181214135910_94527.png

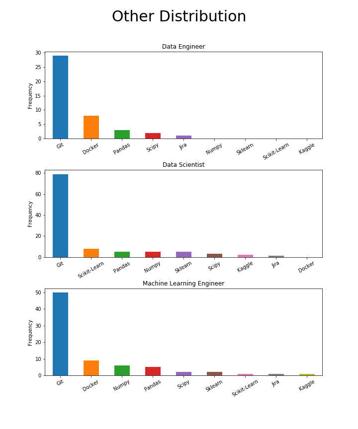
七、其他技能

在数据科学领域,Git对每种职位都很重要,而Docker仅适用于工程师

20181214135927_98775.png

八、词云

接下来,我们使用词云来分析每个职位最常用的关键词,并结合相应的技能为所有数据科学角色构建理想的技能清单!

数据科学家:更注重机器学习,而不是业务或分析

数据科学家一直被认为是需要统计、分析、机器学习和商业知识的全方位职业。然而,现在看来在招聘数据科学家时,比起其他技能,更多地关注机器学习技能。

其他主要要求包括:业务、管理、通信、研究、开发、分析、产品、技术、统计、算法、模型、客户和计算机科学。

20181214135937_98892.jpg

20181214140118_90435.jpg

机器学习工程师:研究、系统设计和构建

与一般的数据科学家相比,机器学习工程师的技能要求更为集中,包括研究、设计和工程。显然,解决方案、产品、软件和系统是主要技能要求。除此之外还伴随着研究、算法、人工智能、深度学习和计算机视觉等要求。同时商业、管理、客户和沟通等也很重要。另一方面,管道和平台也很重要,这也印证了机器学习工程师主要负责构建数据管道以部署机器学习系统。

20181214140210_89121.jpg

20181214140227_43144.jpg

数据工程师:技能要求更为集中

与机器学习工程师相比,数据工程师的技能要求更集中。重点是通过设计和开发管道来支持产品、系统和解决方案。最主要的要求包括:技术技能、数据库、构建、测试、环境和质量。机器学习也很重要,可能是因为构建管道主要为了支持机器学习模型部署数据需求。

20181214140242_81397.jpg 20181214140300_29863.jpg


结语

希望通过本文能帮助你了解,在数据科学方面雇主最需要求职者哪些技能。最重要的是,解答关于要学习哪些技能,如何更好的写求职简历等问题。

115940p38xxaeu3qe8qwxe.webp (1).jpg

关注“CDA人工智能学院”,回复“录播”获取更多人工智能精选直播视频!


附件列表
20181214140118_90435.jpg

原图尺寸 140.89 KB

20181214140118_90435.jpg

20181214135910_94527.png

原图尺寸 44.87 KB

20181214135910_94527.png

二维码

扫码加我 拉你入群

请注明:姓名-公司-职位

以便审核进群资格,未注明则拒绝

栏目导航
热门文章
推荐文章

说点什么

分享

扫码加好友,拉您进群
各岗位、行业、专业交流群