经管之家App
让优质教育人人可得
立即打开
全部版块
我的主页
›
论坛
›
提问 悬赏 求职 新闻 读书 功能一区
›
学道会
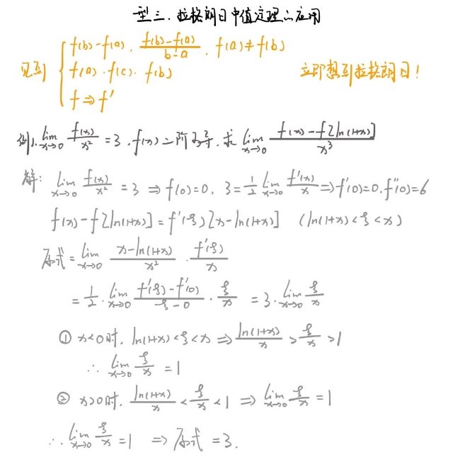
【学习笔记】微分中值题型1-3
楼主
chang06
375
1
收藏
2020-08-18
微分中值题型1-3
附件列表
tmp_efc315cb7d6cf22e6fab6f729b0dc5767a54acd5b44b44cb.jpg
原图尺寸 157.33 KB
tmp_a4baf8c87f462c621f74175f7a400d69fe7df22c961b3987.jpg
原图尺寸 50.32 KB
扫码加我 拉你入群
请注明:姓名-公司-职位
以便审核进群资格,未注明则拒绝
全部回复
沙发
512661101
2020-8-18 23:52:19
赞
扫码加我 拉你入群
请注明:姓名-公司-职位
以便审核进群资格,未注明则拒绝
相关推荐
【学习笔记】今日打卡
【学习笔记】我的整个生命和全部精力将分享给这个世界上最美丽的职业——蜡炬 ...
【学习笔记】希望文献能过关
【学习笔记】正午打卡
【学习笔记】利率敏感性缺口,存续期缺口还不太清楚,继续学学
【学习笔记】6.1
王小慢_2020-06-27 16:54:55_【学习笔记】
【学习笔记】7.6打卡
【学习笔记】打卡
【学习笔记】加油
栏目导航
学道会
市场行情分析
经管在职博
经管文库(原现金交易版)
求助成功区
经管在职研
热门文章
你的SSCI发表焦虑,AI真的能懂吗?——一篇 ...
CDA数据分析脱产就业班于2025年08月02日开班 ...
【AI Agent可靠性】 智能体Agent记忆系统: ...
全球数字经贸规则年度观察报告(2025年)
2025骑行配件出海研究报告
《以日为鉴》阅读分享
Modern Computer Algebra
河南话破圈:从“土味方言”到“潮流符号” ...
Matrix Algebra-James E·Gentle
2025重塑人工智能时代的绩效管理报告-美世
推荐文章
AI狂潮席卷学术圈,不会编程也能打造专属智 ...
10月重磅来袭|《打造Coze/Dify专属学术智能 ...
最快1年拿证,学费不足5W!热门美国人工智能 ...
关于如何利用文献的若干建议
关于学术研究和论文发表的一些建议
关于科研中如何学习基础知识的一些建议 (一 ...
一个自编的经济学建模小案例 --写给授课本科 ...
AI智能体赋能教学改革: 全国AI教育教学应用 ...
2025中国AIoT产业全景图谱报告-406页
关于文献求助的一些建议
说点什么
分享
微信
QQ空间
QQ
微博
扫码加好友,拉您进群
各岗位、行业、专业交流群