经管之家App
让优质教育人人可得
立即打开
全部版块
我的主页
›
论坛
›
提问 悬赏 求职 新闻 读书 功能一区
›
学道会
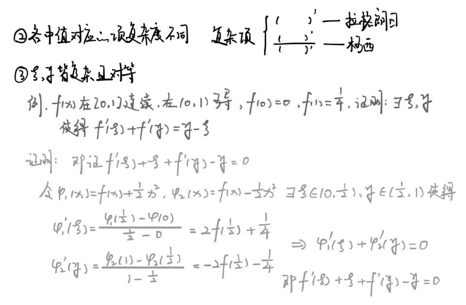
【学习笔记】微分中值题型6-9
楼主
chang06
461
1
收藏
2020-08-20
微分中值题型6-9
附件列表
tmp_b6bb32247e285759dd1207caadb9fb59327de8910b67a096.jpg
原图尺寸 56.76 KB
扫码加我 拉你入群
请注明:姓名-公司-职位
以便审核进群资格,未注明则拒绝
全部回复
沙发
512661101
2020-8-20 19:45:32
赞
扫码加我 拉你入群
请注明:姓名-公司-职位
以便审核进群资格,未注明则拒绝
相关推荐
【学习笔记】第16天打卡
【学习笔记】昨日阅读1小时,累计阅读30小时
【学习笔记】伊朗虽然支持提价,却不参加禁运,美国向其出售了大量的武器, 即 ...
【学习笔记】库存台账摸索中,加油
【学习笔记】12月25日作业
【学习笔记】早晨
【学习笔记】打卡
5155_1580201444_2020-02-27 21:58:58_【学习笔记】
【学习笔记】打卡
【学习笔记】学习,打卡,坚持。
栏目导航
学道会
R语言论坛
休闲灌水
经管文库(原现金交易版)
数据分析与数据挖掘
宏观经济学
热门文章
表格结构数据特征与CDA数据分析师:精准适配 ...
问卷填写,每份50个论坛币
2025全球人工智能技术应用洞察报告
【中国电信】2025年云计算研究白皮书
奇瑞QQ焕新归来
房地产行业:2026年,年轻人应该先买车还是 ...
普华永道 - 中国影响力报告2025
【24更新,自用整理!】2007-2024省级环境保护 ...
【24重磅更新】2000-2024上市公司盈余管理合 ...
CDA数据分析脱产就业班于2026年3月7日开班! ...
推荐文章
2026JG学术冬训营:从Stata初高到Python机器 ...
【必看】【本版版规,欢迎发悬赏贴求助】
26年寒假天津站|Gemini论文写作&数据分析 ...
关于如何利用文献的若干建议
关于学术研究和论文发表的一些建议
关于科研中如何学习基础知识的一些建议 (一 ...
一个自编的经济学建模小案例 --写给授课本科 ...
AI智能体赋能教学改革: 全国AI教育教学应用 ...
2025中国AIoT产业全景图谱报告-406页
关于文献求助的一些建议
说点什么
分享
微信
QQ空间
QQ
微博
扫码加好友,拉您进群
各岗位、行业、专业交流群