经管之家App
让优质教育人人可得
立即打开
全部版块
我的主页
›
论坛
›
经济学论坛 三区
›
宏观经济学
请教张卫平《货币政策理论》第63页一处推导
楼主
灞上柳生
977
1
收藏
2020-09-06
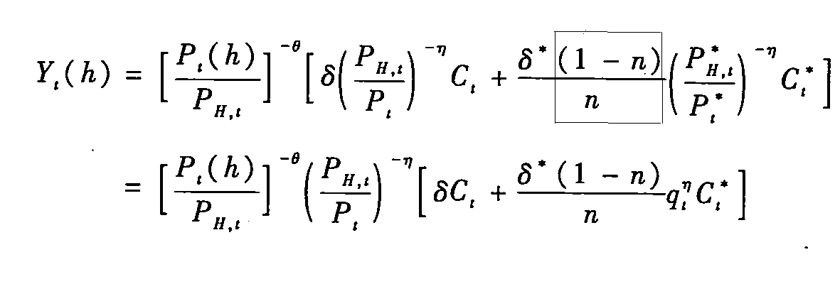
论坛诸位前辈们好,小弟初读张卫平老师《货币政策理论》一书,想请教一下第63页(4.36)式中的推导问题.此式中括号中第二项为什么会比括号中第一项多出(1-n)/n呢?相应问题的就是小弟在图片中用方框标出的部分。括号中第一项实为(4.19)式中的
C
h,t,
第二项应同理为
C*
h,t
才对,那么公式应与第一项类似才对,那么为什么会多出(1-n)/n呢?小弟百思不得其解,盼前辈们赐教,谢谢!
扫码加我 拉你入群
请注明:姓名-公司-职位
以便审核进群资格,未注明则拒绝
全部回复
沙发
灞上柳生
2020-9-6 16:18:39
我个人的理解是sigma_star是进口的本国产品在外国篮子的比重,(1-n)为外国经济的规模,n为本国经济规模,那么sigma_star×((1-n)/n)似乎可以认为是外国经济相对于本国经济的规模乘以进口的本国产品在外国篮子的比重,然后整个sigma_star×((1-n)/n)的角色就相当于(4.36)中括号第一项里sigma。但感觉这样直观去理解还是有点绕,有点强行说通的感觉,不知道这个是不是可以用公式推出来,求各位前辈赐教。
扫码加我 拉你入群
请注明:姓名-公司-职位
以便审核进群资格,未注明则拒绝
相关推荐
袁志刚-货币政策财政政策非一致性分析
林毅夫:今年起货币政策将有大变化
货币政策是否转向存争议 全面宽松还是预调微调?
今年的财政政策和货币政策,求高手总结一下
中国的货币政策的决策过程是个什么过程,人行货币政策委员会有多大发言权
物价涨幅连续回落 货币政策仍要重视防控通胀
一道简单的初级宏经题
周小川:货币政策高度重视控通胀
对货币政策的预期怎么量化
中信建投货币与监管系列报告之二十二:安内优先,2019年货币政策展望20181221
栏目导航
宏观经济学
人力资源管理
金融学(理论版)
求助成功区
文献求助专区
灌水吧
热门文章
当AI遇见ML:高校教师如何借助AI与机器学习 ...
AI Core产业营销思考
CDA 认证考试大纲 2025 重磅更新:一二级考 ...
乡村振兴相关数据
城管进社区如何破解物业“有责无权”困局?
全国外卖骑手数量与换电价格指数表
2026年宏观经济十大趋势展望
2026年宏观经济十大趋势展望
管理者微观经济学 Microeconomics for Mana ...
【24重磅,优化版本!】2003-2024上市公司股票 ...
推荐文章
12月武汉站|Deepseek辅助论文写作与数据分 ...
2026JG学术冬训营:从Stata初高到Python机器 ...
关于如何利用文献的若干建议
关于学术研究和论文发表的一些建议
关于科研中如何学习基础知识的一些建议 (一 ...
一个自编的经济学建模小案例 --写给授课本科 ...
AI智能体赋能教学改革: 全国AI教育教学应用 ...
2025中国AIoT产业全景图谱报告-406页
关于文献求助的一些建议
几种免费下载文献的方法----我的文献应助经
说点什么
分享
微信
QQ空间
QQ
微博
扫码加好友,拉您进群
各岗位、行业、专业交流群