全部版块 我的主页
论坛 数据科学与人工智能 数据分析与数据科学 R语言论坛
3548 3
2020-09-20
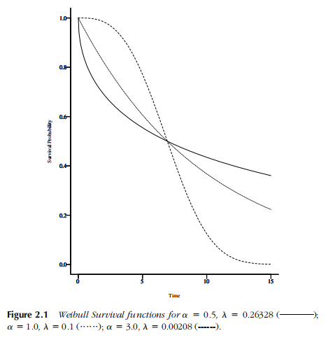
请问一下r语言要怎么把这个图画出来?
我写了这些:

plot(x,y,main="累积生存率",xlab="time",ylab="Survival Probability"
names<-c("x"."y","α","λ")
weibull<-function(x,y)

lambda=0.26328
alpha=0.5
y=exp(-lambda*x^alpha)
plot(x,y)
lines(x,y,col="red")


lambda=0.1
alpha=1.0
y=exp(-lambda*x^alpha)
plot(x,y)
lines(x,y,col="black")

lambda=0.00208
alpha=3.0
y=exp(-lambda*x^alpha)
plot(x,y)
lines(x,y,col="blue")
一直说我二进列运算符中有非数值参数和参数长度为0


二维码

扫码加我 拉你入群

请注明:姓名-公司-职位

以便审核进群资格,未注明则拒绝

全部回复
2020-9-20 19:46:01
1.PNG 2.PNG
二维码

扫码加我 拉你入群

请注明:姓名-公司-职位

以便审核进群资格,未注明则拒绝

2020-9-22 02:50:41
你是不是漏掉了x?我试验正常啊

复制代码
二维码

扫码加我 拉你入群

请注明:姓名-公司-职位

以便审核进群资格,未注明则拒绝

2023-9-12 13:52:45
你不会是我学长吧,怎么这问题跟cz布置的作业一模一样
二维码

扫码加我 拉你入群

请注明:姓名-公司-职位

以便审核进群资格,未注明则拒绝

相关推荐
栏目导航
热门文章
推荐文章

说点什么

分享

扫码加好友,拉您进群
各岗位、行业、专业交流群