经管之家App
让优质教育人人可得
立即打开
全部版块
我的主页
›
论坛
›
提问 悬赏 求职 新闻 读书 功能一区
›
经管百科
›
爱问频道
大家帮忙看看这个积分能不能积出来呀?!
楼主
susanna_5433
1451
3
收藏
2010-11-26
悬赏
10
个论坛币
未解决
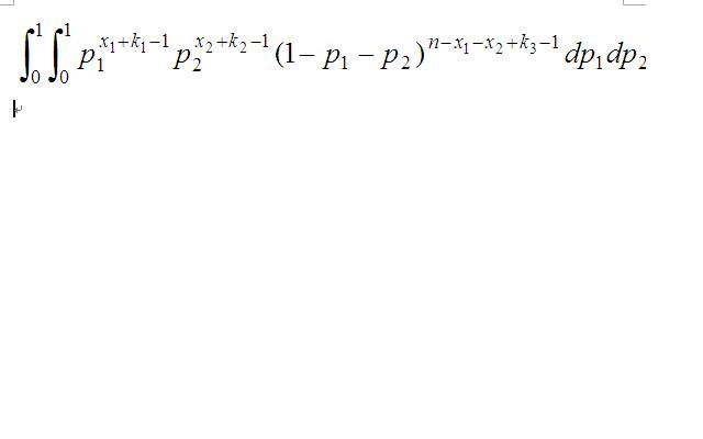
请大家帮忙看看这个积分能不能积显式解呀,偶试了一下想变形成Beta分布函数可是好像不对哦,暂时没想出别的办法,大家给出出主意吧!先在此谢过!
扫码加我 拉你入群
请注明:姓名-公司-职位
以便审核进群资格,未注明则拒绝
全部回复
沙发
lancelot111
2010-11-26 16:33:08
沙发,但是看了这个很头疼,坐等强人出现
扫码加我 拉你入群
请注明:姓名-公司-职位
以便审核进群资格,未注明则拒绝
藤椅
爱萌
2010-11-26 16:34:23
这个不是beta分布函数,你的思路有问题,而是dirichlet分布
扫码加我 拉你入群
请注明:姓名-公司-职位
以便审核进群资格,未注明则拒绝
板凳
susanna_5433
2010-11-26 20:02:52
我当然知道这个是dirichlet分布,我的意思是我通过变形把这个二重积分变成两个定积分(每个定积分试图把它写成beta分布函数形式),但是有问题
扫码加我 拉你入群
请注明:姓名-公司-职位
以便审核进群资格,未注明则拒绝
相关推荐
请教一个关于Beta系数计算的问题
关于BETA
beta
关于股票的BETA系数
金融学beta求教. :)
报告 Beta 系数
beta系数
請問怎樣估計beta
求教一个关于Beta的问题
【求助】用什么来代替beta?
栏目导航
爱问频道
R语言论坛
stata专版
行业分析报告
经管文库
文献求助专区
热门文章
CDA数据分析师:以数据思维赋能企业管理,驱 ...
CDA全国考点信息一览(更新于2025年12月10日 ...
高观点下的初等数学概念+沈钢编著,2001
初等数学论丛 第3辑
黑龙江统计年鉴2025(Excel版)
企业级AI平台发展趋势报告(2026)
【24重磅,顶刊热点!】2001-2024上市公司大数 ...
当AI遇见ML:高校教师如何借助AI与机器学习 ...
CDA 认证考试大纲 2025 重磅更新:一二级考 ...
CDA数据分析师实战:指标体系搭建的全流程方 ...
推荐文章
12月武汉站|Deepseek辅助论文写作与数据分 ...
2026JG学术冬训营:从Stata初高到Python机器 ...
关于如何利用文献的若干建议
关于学术研究和论文发表的一些建议
关于科研中如何学习基础知识的一些建议 (一 ...
一个自编的经济学建模小案例 --写给授课本科 ...
AI智能体赋能教学改革: 全国AI教育教学应用 ...
2025中国AIoT产业全景图谱报告-406页
关于文献求助的一些建议
几种免费下载文献的方法----我的文献应助经
说点什么
分享
微信
QQ空间
QQ
微博
扫码加好友,拉您进群
各岗位、行业、专业交流群