全部版块 我的主页
论坛 数据科学与人工智能 数据分析与数据科学 MATLAB等数学软件专版
8453 9
2010-12-10
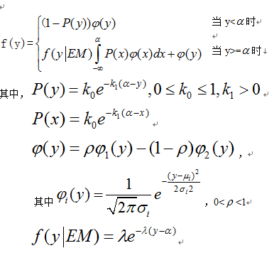
如题,要用什么软件吗?如何编写程序?要估计8个参数
谢谢谢谢谢谢啦~~
附件列表
公式.png

原图尺寸 13.08 KB

公式.png

二维码

扫码加我 拉你入群

请注明:姓名-公司-职位

以便审核进群资格,未注明则拒绝

全部回复
2010-12-10 11:01:45
你把似然写出来,然后求导,令导数等于零,就可以把参数解出来
二维码

扫码加我 拉你入群

请注明:姓名-公司-职位

以便审核进群资格,未注明则拒绝

2010-12-10 11:04:12
matlab可以解决
二维码

扫码加我 拉你入群

请注明:姓名-公司-职位

以便审核进群资格,未注明则拒绝

2010-12-10 12:54:42
matlab要自己编写程序吗?我没有用过matlab,请问能解释得详细些吗?
thank you very much~~~
二维码

扫码加我 拉你入群

请注明:姓名-公司-职位

以便审核进群资格,未注明则拒绝

2010-12-11 15:53:08
这个不是很好做呢 你要离散化 利用y的马尔科夫性  写出极大似然函数
然后用matlab 的函数 但是结果不一定稳定
二维码

扫码加我 拉你入群

请注明:姓名-公司-职位

以便审核进群资格,未注明则拒绝

2014-12-13 16:38:38

matlab就可以了
二维码

扫码加我 拉你入群

请注明:姓名-公司-职位

以便审核进群资格,未注明则拒绝

点击查看更多内容…
相关推荐
栏目导航
热门文章
推荐文章

说点什么

分享

扫码加好友,拉您进群
各岗位、行业、专业交流群