全部版块 我的主页
论坛 经济学论坛 三区 微观经济学 经济金融数学专区
17447 267
2020-11-15
数学分析习题练习六


目录


中国计量大学2020年数学分析-------------1#~2#
中山大学2020数学分析试题----------------2#~3#
浙江科技学院2020年数学分析-------------3#~5#
汕头大学2020年612数学分析--------------5#~6#
哈尔滨工程大学2020数学分析-------------6#~7#
首都师范大学2020数学分析----------------7#~8#
北京科技大学2020数学分析----------------8#~9#
四川师范大学2019数学分析---------------9#~10#
华南师范大学2020数学分析---------------11#~12#
合肥工业大学2020数学分析---------------12#~13#
北京大学数学分析1期中试题--------------13#~14#
兰州大学2020数学分析--------------------14#~15#
山东大学2019年651数学分析--------------15#~16#
山东大学2018年651数学分析--------------16#~17#
浙江工业大学2020数学分析---------------17#~18#
广东财经大学2020数学分析---------------18#~19#
中山大学2021数学分析试题---------------19#~21#
复旦大学《数学分析I》期末考试题----------21#
中科大学数学分析B3期中试题(2020秋季)--21#~22#
周期函数结论--------------------------------23#
复旦大学2021年分析考研真题-------------24#~25#
大连理工大学2021数学分析试题-----------25#~26#





数学分析习题练习七:https://bbs.pinggu.org/thread-10684099-1-1.html
数学分析习题练习五:https://bbs.pinggu.org/thread-9578425-1-1.html
数学分析习题练习四:https://bbs.pinggu.org/thread-7967903-1-1.html
数学分析习题练习三:https://bbs.pinggu.org/thread-7388050-1-1.html
数学分析考研真题练习二:https://bbs.pinggu.org/thread-7210706-1-1.html
数学分析考研真题练习一:https://bbs.pinggu.org/thread-7048372-1-1.html
2018年数学分析考研题选解:http://muchong.com/t-12465926-1




二维码

扫码加我 拉你入群

请注明:姓名-公司-职位

以便审核进群资格,未注明则拒绝

全部回复
2020-11-15 13:25:26
中国计量大学2020年数学分析
1.png

解:
        (1)、
                       $\displaystyle \lim_{x\to 0}(\frac{1}{x^2}-\frac{1}{x\sin x})=\lim_{x\to 0}\frac{\sin x-x}{x^2\sin x}=\lim_{x\to 0}\frac{-\frac{1}{3!}x^3+o(x^3)}{x^3}=-\frac{1}{6}.$


         (2)、
                        $\displaystyle \frac{\mathrm{d} y}{\mathrm{d} x}=\frac{-b\sin bt}{a\cos at},$

                        $\displaystyle \frac{\mathrm{d}^2y}{\mathrm{d} x^2}=\frac{\mathrm{d} }{\mathrm{d} x}(\frac{\mathrm{d} y}{\mathrm{d} x})=\frac{-ab^2\cos bt\cos at-a^2b\sin bt\sin at}{a^2\cos^2at}|_{t=0}=\frac{-b^2}{a}.$



二维码

扫码加我 拉你入群

请注明:姓名-公司-职位

以便审核进群资格,未注明则拒绝

2020-11-15 13:25:45
中国计量大学2020年数学分析
2.png

解:
         (1)、令
                                 $\displaystyle F(x,y,z)=\sin (x+z)-y(x+2)+e^{xy}-1,$

                     则
                                 $\displaystyle F_x|_{(-1,0,1)}=\cos (x+z)-y+ye^{xy}=1,$

                                  $\displaystyle F_y|_{(-1,0,1)}=-(x+2)+xe^{xy}=-2,$

                                  $\displaystyle F_z|_{(-1,0,1)}=\cos (x+z)=1,$
      
                                  $\displaystyle \therefore (x+1)-2y+(z-1)=0,$

                     因此,所求的切平面为                     
                                  $\displaystyle x-2y+z=0.$

             (2)、
                                  $\displaystyle \because \int f(x)dx=\frac{\cos x}{x}+C,$

                                  $\displaystyle \Rightarrow f(x)=\frac{-x\sin x-\cos x}{x^2},$

                                  $\begin{align*}\therefore \int xf'(x)dx&=xf(x)-\int f(x)dx\\\\&=xf(x)-\frac{\cos x}{x}+C\\\\&=\frac{-x\sin x-\cos x}{x}-\frac{\cos x}{x}+C\\\\&=\frac{-x\sin x-2\cos x}{x}+C.\end{align*}$


二维码

扫码加我 拉你入群

请注明:姓名-公司-职位

以便审核进群资格,未注明则拒绝

2020-11-15 13:26:07
中国计量大学2020年数学分析
3.png


        5、
                     $\displaystyle \int_{0}^{1}dy\int_{1-x}^{1}\frac{y\sin x}{x}dx=\int_{0}^{1}\frac{\sin x}{x}dx\int_{1-x}^{1}ydy=\int_{0}^{1}\frac{\sin x}{x}\cdot \frac{1}{2}(2x-x^2)dx=\frac{1}{2}(1-\sin 1).$


        6、
                      $\displaystyle \because R=1,\therefore 4\leq x< 6,$

二维码

扫码加我 拉你入群

请注明:姓名-公司-职位

以便审核进群资格,未注明则拒绝

2020-11-15 13:26:29
中国计量大学2020年数学分析
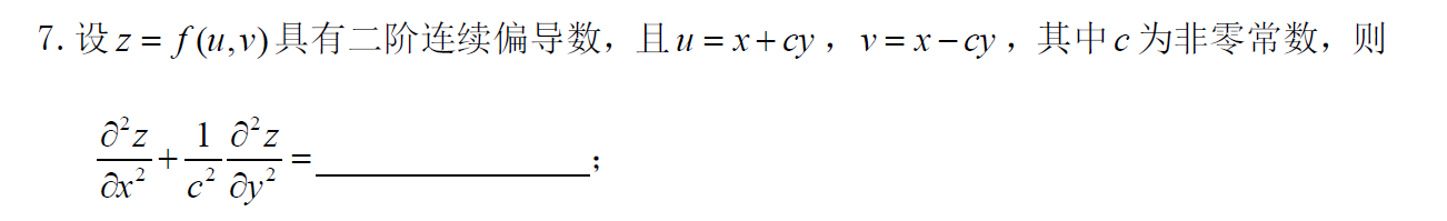
4.png

解:
                     $\displaystyle \frac{\partial z}{\partial x}=\frac{\partial f}{\partial u}\frac{\partial u}{\partial x}+\frac{\partial f}{\partial v}\frac{\partial v}{\partial x}=\frac{\partial f}{\partial u}+\frac{\partial f}{\partial v},$

                     $\displaystyle \frac{\partial z}{\partial y}=\frac{\partial f}{\partial u}\frac{\partial u}{\partial y}+\frac{\partial f}{\partial v}\frac{\partial v}{\partial y}=c\frac{\partial f}{\partial u}-c\frac{\partial f}{\partial v}.$

                      $\displaystyle \frac{\partial^2 z}{\partial x^2}=\frac{\partial^2 f}{\partial u^2}+2\frac{\partial^2 f}{\partial u\partial v}+\frac{\partial^2 f}{\partial v^2},$

                      $\displaystyle \frac{\partial^2 z}{\partial y^2}=c^2\frac{\partial^2 f}{\partial u^2}-2c^2\frac{\partial^2 f}{\partial u\partial v}+c^2\frac{\partial^2 f}{\partial v^2},$

                     $\displaystyle \therefore \frac{\partial^2 z}{\partial x^2}+\frac{1}{c^2}\frac{\partial^2 z}{\partial y^2}=2\frac{\partial^2 f}{\partial u^2}+2\frac{\partial^2 f}{\partial v^2}.$



二维码

扫码加我 拉你入群

请注明:姓名-公司-职位

以便审核进群资格,未注明则拒绝

2020-11-15 13:26:51
中国计量大学2020年数学分析
5.png

解:
                    $\begin{align*}\lim_{x\to 0}(\frac{e^x+e^{2x}+e^{3x}}{3})^{\frac{1}{\sin x}}&=\lim_{x\to 0}\exp(\frac{\ln(e^x+e^{2x}+e^{3x})-\ln 3}{\sin x})\\\\&=\lim_{x\to 0}\exp(\frac{x\ln(1+e^{x}+e^{2x})-\ln 3}{\sin x})\\\\&=\lim_{x\to 0}\exp(\frac{x(e^{x}+e^{2x})-\ln 3}{\sin x})\\\\&=\frac{e^2}{3}.\end{align*}$


二维码

扫码加我 拉你入群

请注明:姓名-公司-职位

以便审核进群资格,未注明则拒绝

点击查看更多内容…
相关推荐
栏目导航
热门文章
推荐文章

说点什么

分享

扫码加好友,拉您进群
各岗位、行业、专业交流群